| ²é¿´: 2278 | »Ø¸´: 2 | ||
ݺºôÆð2020ͳæ (СÓÐÃûÆø)
|
[ÇóÖú]
ÀûÓÃmatlab¶Ô±´Èû¶ûº¯Êý½øÐлý·Ö²¢Çó½âδ֪±äÁ¿ ÒÑÓÐ1È˲ÎÓë
|
|
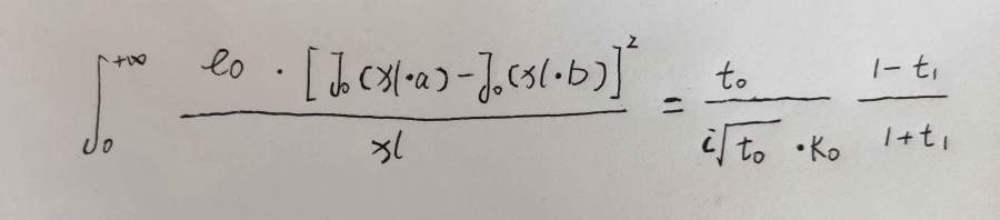
ÀûÓÃmatlab¶Ô±´Èû¶ûº¯Êý½øÐлý·Ö£¬Ê¹ÓÃÀëÉ¢Ïà¼ÓµÄ·½·¨£¬³ÌÐòÄܹ»ÅÜͨ£¬µ«ÊÇÓëÕýÈ·½á¹ûÓнϴóÎó²î£¬·³Çë´óÉñ°ïæ¿´³ÌÐòÊÇ·ñ´æÔÚÎÊÌ⣬ָµãÃÔ½ò¡£¸Ðл¸Ðл£¡£¡ Ëù¼ÆËãµÄ¹«Ê½ÈçͼËùʾ¡£ ³ÌÐòÈçÏÂËùʾ£º syms e0 xl = linspace(1,1000,10001); xl(end) = []; dxl = xl(2)-xl(1); f7 = sum(e0.* ((((besselj(0,xl*a)) - (besselj(0,xl*b))).^2)./xl) )*dxl; f8 = (t0/(1i*k0*sqrt(t0)))*((1-t1)/(1+t1)); f9 = f7 - f8; e0 = vpasolve(f9 == 0); q = vpa(e0); ÆäÖÐe0Ϊ·ûºÅÊý£¬a¡¢b¡¢k0¾ùΪʵÊý£¬t0¡¢t1Ϊ¸´Êý£¬i=sqrt(-1)¡£Çó½âe0¡£ ¸Ðл¸Ðл£¡ ·¢×ÔСľ³æAndroid¿Í»§¶Ë |
» ²ÂÄãϲ»¶
291·Öµ÷¼Á
ÒѾÓÐ9È˻ظ´
µ÷¼ÁÇóÊÕÁô
ÒѾÓÐ34È˻ظ´
291 Çóµ÷¼Á
ÒѾÓÐ38È˻ظ´
22408 312Çóµ÷¼Á
ÒѾÓÐ17È˻ظ´
Ò»Ö¾Ô¸»ªÖÐũҵ071010£¬320Çóµ÷¼Á
ÒѾÓÐ6È˻ظ´
290µ÷¼ÁÉúÎï0860
ÒѾÓÐ41È˻ظ´
291Çóµ÷¼Á
ÒѾÓÐ3È˻ظ´
211±¾¿Æ²ÄÁÏ»¯¹¤Çóµ÷¼Á
ÒѾÓÐ23È˻ظ´
ɽ¶«Ê¡»ù½ð2026
ÒѾÓÐ9È˻ظ´
ҩѧÇóµ÷¼Á
ÒѾÓÐ13È˻ظ´
johnliu1983
ÖÁ×ðľ³æ (ÖøÃûдÊÖ)
- Ó¦Öú: 43 (СѧÉú)
- ½ð±Ò: 15152.8
- ºì»¨: 8
- Ìû×Ó: 2448
- ÔÚÏß: 150Сʱ
- ³æºÅ: 370817
- ×¢²á: 2007-05-14
- ÐÔ±ð: GG
- רҵ: ÎïÀíѧII
¡¾´ð°¸¡¿Ó¦Öú»ØÌû
¡ï ¡ï ¡ï ¡ï ¡ï ¡ï ¡ï ¡ï ¡ï ¡ï ¡ï ¡ï ¡ï ¡ï ¡ï ¡ï ¡ï ¡ï ¡ï ¡ï
ݺºôÆð2020: ½ð±Ò+20 2020-10-06 09:28:18
ݺºôÆð2020: ½ð±Ò+20 2020-10-06 09:28:18
| ÄãÓõÄÀëÉ¢»ý·ÖÈ¡µÄÊýÖµµã²»¹»¶à£¬ÐèÒªÔÙ¶àÒ»µã¶ù¡£ ÁíÍâÀëÉ¢»ý·ÖÄãÐèÒªÓÃÀëÉ¢»ý·Ö¹«Ê½¼ÆË㣬²»ÄÜÕâÑùÖ±½ÓÇóºÍ¡£×î¼òµ¥µÄÄã¿ÉÒÔÓÃtrapzÕâ¸öº¯ÊýÊÔÒ»ÊÔ¡£Èç¹ûÄãÒªÇóµÄ¾«¶È¸ü¸ß£¬ÄãÐèÒªÕÒһϸüºÃµÄÀëÉ¢»ý·Ö¹«Ê½¡£ |
2Â¥2020-09-14 09:10:14
ݺºôÆð2020
ͳæ (СÓÐÃûÆø)
- Ó¦Öú: 0 (Ó×¶ùÔ°)
- ½ð±Ò: 327.6
- Ìû×Ó: 125
- ÔÚÏß: 26.4Сʱ
- ³æºÅ: 22255945
- ×¢²á: 2020-05-23
- רҵ: ÉúÎïµç×ÓѧÓëÉúÎïÐÅÏ¢´¦Àí
3Â¥2020-10-06 09:28:43














»Ø¸´´ËÂ¥