24小时热门版块排行榜    

北京石油化工学院2026年研究生招生接收调剂公告
查看: 1447  |  回复: 0
【悬赏金币】回答本帖问题,作者Xm1014将赠送您 10 个金币

Xm1014

新虫 (小有名气)

[求助] DSC该如何计算吸收和放出的热量啊

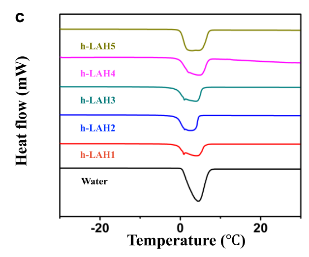
比方说这种DSC图,我该如何计算由-20℃到0℃纯水所吸收的热量啊

DSC该如何计算吸收和放出的热量啊
ZJL_S1G6N_GBQ@0$KU{FUUM.png
回复此楼

» 猜你喜欢

已阅   回复此楼   关注TA 给TA发消息 送TA红花 TA的回帖
相关版块跳转 我要订阅楼主 Xm1014 的主题更新
不应助 确定回帖应助 (注意:应助才可能被奖励,但不允许灌水,必须填写15个字符以上)
最具人气热帖推荐 [查看全部] 作者 回/看 最后发表
[考研] 材料与化工085600,总分304,本科有两篇sci参与,求调剂 +5 幸运的酱酱 2026-03-22 6/300 2026-03-27 09:02 by 不吃魚的貓
[考研] 一志愿郑大085600,310分求调剂 +4 李潇可 2026-03-26 4/200 2026-03-27 08:12 by hypershenger
[考研] 一志愿太原理工安全工程300分,求调剂 +3 0857求调剂. 2026-03-24 3/150 2026-03-27 01:18 by 求知若渴lz
[考研] 化学308分求调剂 +5 你好明天你好 2026-03-23 5/250 2026-03-26 23:43 by 催化大白
[考研] 349求调剂 +4 李木子啊哈哈 2026-03-25 4/200 2026-03-26 22:49 by fmesaito
[考研] 求调剂 +8 Auroracx 2026-03-22 8/400 2026-03-26 19:55 by 不吃魚的貓
[考研] 081700 调剂 267分 +11 迷人的哈哈 2026-03-23 11/550 2026-03-26 15:41 by zzll406
[材料工程] 一志愿C9材料与化工专业总分300求调剂 +5 曼111 2026-03-24 6/300 2026-03-26 13:04 by 13756423260
[考研] 一志愿上海交大生物与医药专硕324分,求调剂 +6 jiajunX 2026-03-22 6/300 2026-03-25 23:05 by licg0208
[考研] 290分调剂求助 +3 吉祥止止陈 2026-03-25 3/150 2026-03-25 19:58 by barlinike
[考研] 347求调剂 +4 L when 2026-03-25 4/200 2026-03-25 13:37 by cocolv
[考研] B区考研调剂 +4 yqdszhdap- 2026-03-22 5/250 2026-03-25 08:51 by baoball
[考研] 300分,材料,求调剂,英一数二 +5 超赞的 2026-03-24 5/250 2026-03-24 21:07 by 星空星月
[考研] 一志愿北化315 求调剂 +3 akrrain 2026-03-24 3/150 2026-03-24 19:35 by 了了了了。。
[考研] 环境学硕288求调剂 +8 皮皮皮123456 2026-03-22 8/400 2026-03-23 23:47 by 热情沙漠
[考研] 材料/农业专业,07/08开头均可,过线就行 +3 呵唔哦豁 2026-03-23 4/200 2026-03-23 22:30 by 汪!?!
[考研] 接收2026硕士调剂(学硕+专硕) +4 allen-yin 2026-03-23 6/300 2026-03-23 15:04 by 汪!?!
[考研] 一志愿070300浙大化学358分,求调剂! +4 酥酥鱼.. 2026-03-21 4/200 2026-03-23 08:12 by Iveryant
[考研] A区线材料学调剂 +5 周周无极 2026-03-20 5/250 2026-03-20 21:33 by laoshidan
[考研] 261求B区调剂,科研经历丰富 +3 牛奶很忙 2026-03-20 4/200 2026-03-20 19:34 by JourneyLucky
信息提示
请填处理意见