| 查看: 1094 | 回复: 4 | ||
| 【悬赏金币】回答本帖问题,作者深海。将赠送您 5 个金币 | ||
[求助]
纳米球和有序介孔的BET表征
|
||
|
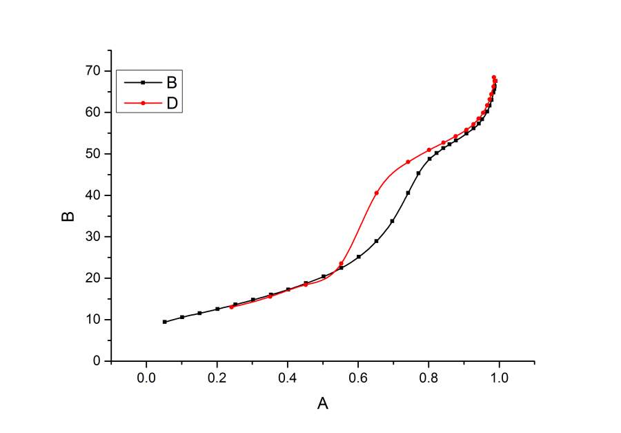
最近想要合成两种材料,一种是两三百纳米的金属氧化物球体,上面开一些不规则的空洞,但是SEM图只有零星几个球,得到了如下的BET; 第二种是想要合成有序介孔含碳金属氧化物,还没有其他表征,只测了BET,效果如下。自己关于BET表征不太会,有没有大佬帮助分析一下,谢谢。 球体.jpg 球体孔径.jpg 有序介孔.jpg 有序介孔孔径.jpg |
» 猜你喜欢
请问对标matlab的开源软件octave的网站https://octave.org为什么打不开?
已经有1人回复
求助两种BiOBr晶体的CIF文件(卡片号为JCPDS 09-0393与JCPDS 01-1004 )
已经有0人回复
无机化学论文润色/翻译怎么收费?
已经有244人回复
哈尔滨工程大学材化学院国家级青年人才-26年硕士招生
已经有0人回复
求助Fe-TCPP、Zn-TCPP的CIF文件,或者CCDC号
已经有0人回复
河北大学-招收26年秋季入化学博士1名
已经有0人回复
XPS/?λXPS
已经有0人回复
河北大学-招收化学博士1名
已经有0人回复
» 本主题相关商家推荐: (我也要在这里推广)
2楼2020-09-02 16:25:18
3楼2020-09-02 16:39:27
4楼2020-09-02 16:55:17
| 1 |
5楼2020-09-03 16:14:01













回复此楼

