| 查看: 644 | 回复: 0 | ||
| 【悬赏金币】回答本帖问题,作者CPYHH将赠送您 100 个金币 | ||
[求助]
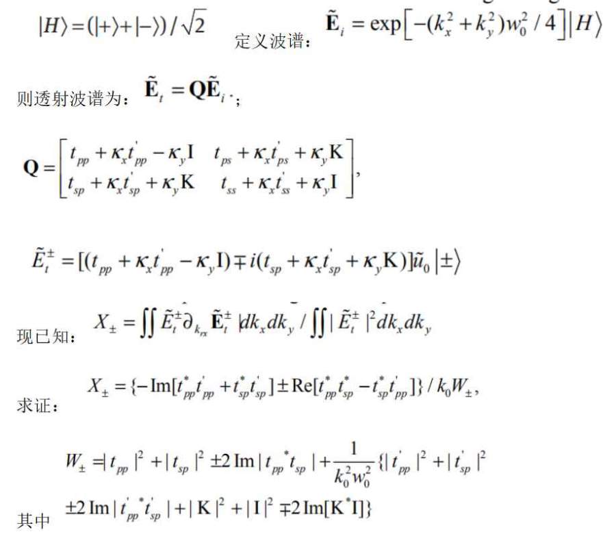
求助一道光学证明题
|
||
|
题如图 发自小木虫Android客户端 |
» 猜你喜欢
生物学308分求调剂(一志愿华东师大)
已经有7人回复
296材料专硕求调剂
已经有18人回复
材料与化工306分找调剂
已经有18人回复
302求调剂
已经有9人回复
一志愿北京科技大学材料工程085601,求调剂
已经有11人回复
283分材料与化工求调剂
已经有19人回复
326求调剂
已经有8人回复
一志愿郑州大学材料与化工085600,求调剂
已经有10人回复
081200-11408-276学硕求调剂
已经有5人回复
280求调剂
已经有14人回复














回复此楼