| ²é¿´: 2357 | »Ø¸´: 2 | ||
| ¡¾ÐüÉͽð±Ò¡¿»Ø´ð±¾ÌûÎÊÌ⣬×÷Õß°¡¹þ·çÁÙ½«ÔùËÍÄú 50 ¸ö½ð±Ò | ||
°¡¹þ·çÁÙгæ (ÕýʽдÊÖ)
|
[ÇóÖú]
OERËþ·Æ¶ûÇúÏßȡֵ·¶Î§
|
|
|
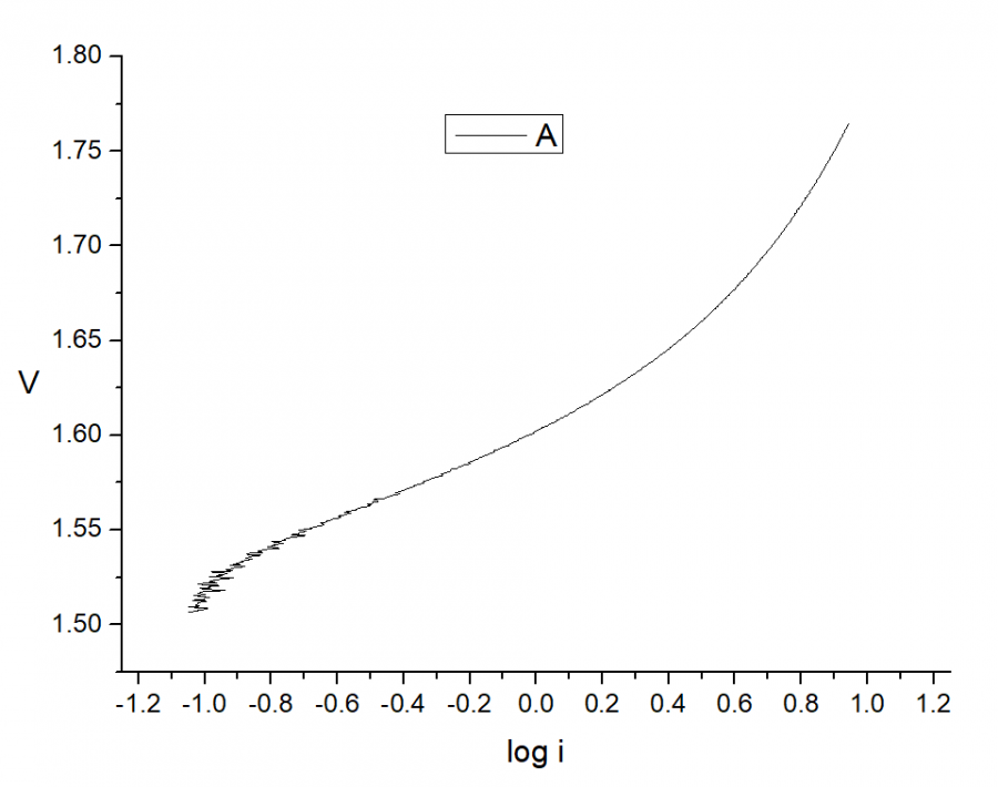
ÏëÇë½Ìһϣ¬¹ØÓÚËþ·Æ¶ûȡֵÎÊÌ⣬ͼһÊÇÎÒ²âµÄoer£¬ÓÐÈË˵Ëþ·Æ¶ûȡֵ²¿·ÖÊǵçÁ÷ÉÏÉý×îÖ±µÄÒ»¶Î£¬ÄÇÊDz»ÊÇ1.65v-1.75vÖ®¼ä×÷Í¼ÄØ£¬Ò²ÓÐÈË˵´Ó¹Õµã¿ªÊ¼È¡Öµ¾ÍÐУ¬Í¼¶þÊÇÎÒ¸ù¾Ýͼһ×ö³öÀ´µÄËþ·Æ¶ûÇúÏߣ¬Âé·³¸÷λ°ïÎÒ½â´ðһϣ¬ÒòΪȡֵ·¶Î§²»Ò»Ñù£¬ÊýÖµÏà²îºÜ´ó¡£ 1.png 2.png@lxg133298@kinkilyou@guozl@guozl@guozl@guozl [ last edited by °¡¹þ·çÁÙ on 2020-8-22 at 11:23 ] [ Last edited by °¡¹þ·çÁÙ on 2020-8-22 at 12:07 ] |
» ²ÂÄãϲ»¶
085600µ÷¼Á
ÒѾÓÐ4È˻ظ´
Õãʦ´ó»¯Óë²ÄѧԺ2026ÄêÓдóÁ¿Ë¶Ê¿Ñо¿Éúµ÷¼ÁÃû¶î £¨ÏßÉÏ µ÷¼Á£©
ÒѾÓÐ9È˻ظ´
»¯Ñ§¹¤³Ì¼°¹¤Òµ»¯Ñ§ÂÛÎÄÈóÉ«/·ÒëÔõôÊÕ·Ñ?
ÒѾÓÐ225È˻ظ´
¼ªÁÖ¹¤³Ì¼¼Êõʦ·¶Ñ§Ôº ²ÄÁÏÓ뻯¹¤ £¨0856£© ÕÐÊÕµ÷¼Á
ÒѾÓÐ5È˻ظ´
¿ÎÌâ×é(»¯Ñ§¡¢»¯¹¤¡¢»·¾³¡¢ÄÜÔ´¡¢²ÄÁÏÏà¹Ø·½Ïò)»¶ÓÄãµÄ¼ÓÈë
ÒѾÓÐ11È˻ظ´
¹ú¼Ò´óÈ˲ſÎÌâ×éÕÐÊÕ»¯Ñ§¡¢²ÄÁÏ»¯¹¤Àà2026Äêµ÷¼ÁÉú
ÒѾÓÐ0È˻ظ´
¹ú¼Ò´óÈ˲ſÎÌâ×éÕÐÊÕ»¯Ñ§¡¢²ÄÁÏ»¯¹¤Àà2026Äêµ÷¼ÁÉú
ÒѾÓÐ0È˻ظ´
Ìì½ò¿Æ¼¼´óѧ-£¨ÔºÊ¿ÍŶӣ©ÏȽøÏËάÓëÖ½»ù¹¦ÄܲÄÁÏÍÅ¶Ó ÕÐÊÕ2026˶ʿµ÷¼ÁÉú
ÒѾÓÐ0È˻ظ´
¼ªÁÖ¹¤³Ì¼¼Êõʦ·¶Ñ§Ôº ½»²æÑ§¿ÆÑо¿Ôº£¨08/07£© ÕÐÊÕµ÷¼Á
ÒѾÓÐ3È˻ظ´
¹ú¼Ò´óÈ˲ſÎÌâ×éÕÐÊÕ»¯Ñ§¡¢²ÄÁÏ»¯¹¤Àà2026Äêµ÷¼ÁÉú
ÒѾÓÐ0È˻ظ´
»¯¹¤-²ÄÁÏÓ뻯¹¤½ÓÊÕµ÷¼Á3Ãû
ÒѾÓÐ0È˻ظ´
°¡¹þ·çÁÙ
гæ (ÕýʽдÊÖ)
- Ó¦Öú: 0 (Ó×¶ùÔ°)
- ½ð±Ò: 102.6
- É¢½ð: 130
- Ìû×Ó: 301
- ÔÚÏß: 58.2Сʱ
- ³æºÅ: 14794191
- ×¢²á: 2019-04-03
- ÐÔ±ð: GG
- רҵ: µç»¯Ñ§
2Â¥2020-08-22 12:08:16
QJiang
Ìú¸Ëľ³æ (ÖøÃûдÊÖ)
¸ãѧÊõµÄ˧±È
- Ó¦Öú: 6 (Ó×¶ùÔ°)
- ½ð±Ò: 9433.7
- ºì»¨: 12
- Ìû×Ó: 2143
- ÔÚÏß: 549.1Сʱ
- ³æºÅ: 2443283
- ×¢²á: 2013-05-01
- ÐÔ±ð: GG
- רҵ: °ëµ¼Ìå²ÄÁÏ

3Â¥2020-08-23 04:50:43














»Ø¸´´ËÂ¥