| 查看: 2944 | 回复: 5 | ||
[求助]
ABAQUS仿真金属高温拉伸实验已有2人参与
|
|
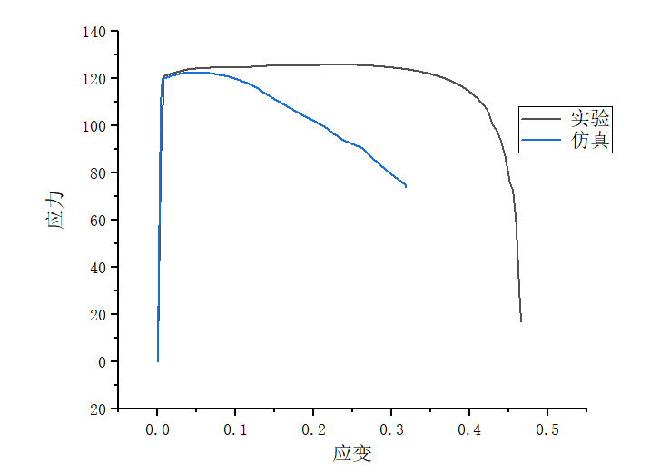
本人新手,用abaqus显示分析步(不是热力耦合)仿真金属高温拉伸实验,材料属性里有密度,弹性,塑性。仿真出来的力位移曲线和实验中的对不上,应该是均匀变形阶段时间太短,颈缩阶段提前,有没有大佬指导一下啊,可有偿 QQ图片.png QQ图片20200812174828.png P%F_]RNT7XXIN9FE@M~VVGJ.png |
» 猜你喜欢
请问有评职称,把科研教学业绩算分排序的高校吗
已经有4人回复
孩子确诊有中度注意力缺陷
已经有12人回复
2025冷门绝学什么时候出结果
已经有3人回复
天津工业大学郑柳春团队欢迎化学化工、高分子化学或有机合成方向的博士生和硕士生加入
已经有4人回复
康复大学泰山学者周祺惠团队招收博士研究生
已经有6人回复
AI论文写作工具:是科研加速器还是学术作弊器?
已经有3人回复
2026博士申请-功能高分子,水凝胶方向
已经有6人回复
论文投稿,期刊推荐
已经有4人回复
硕士和导师闹得不愉快
已经有13人回复
请问2026国家基金面上项目会启动申2停1吗
已经有5人回复
» 本主题相关商家推荐: (我也要在这里推广)
2楼2020-08-18 10:42:09
3楼2020-08-24 13:50:30
tianlinan102
新虫 (小有名气)
- 应助: 2 (幼儿园)
- 金币: 128.8
- 红花: 2
- 帖子: 79
- 在线: 25.5小时
- 虫号: 2204849
- 注册: 2012-12-25
- 性别: GG
- 专业: 金属材料的力学行为

4楼2020-09-11 16:53:56
tianlinan102
新虫 (小有名气)
- 应助: 2 (幼儿园)
- 金币: 128.8
- 红花: 2
- 帖子: 79
- 在线: 25.5小时
- 虫号: 2204849
- 注册: 2012-12-25
- 性别: GG
- 专业: 金属材料的力学行为

5楼2020-09-11 17:11:45
6楼2021-01-17 17:19:06














回复此楼
