| ²é¿´: 1546 | »Ø¸´: 2 | ||
| ¡¾ÐüÉͽð±Ò¡¿»Ø´ð±¾ÌûÎÊÌ⣬×÷ÕßXuan_Liu½«ÔùËÍÄú 40 ¸ö½ð±Ò | ||
Xuan_Liuгæ (СÓÐÃûÆø)
|
[ÇóÖú]
¹ØÓÚÍõ»³Óñ¡¶ Äý¾Û̬ÎïÀíµÄ¸ñÁÖº¯ÊýÀíÂÛ¡·¡ì7.4 µã Õó¹¹ÔìµÄÀ©Õ¹ ÖеÄÒ»¸öÎÊÌâ ÒÑÓÐ1È˲ÎÓë
|
|
|
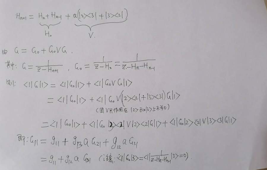
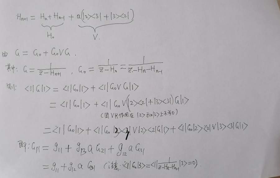
¹ØÓÚÍõ»³Óñ¡¶ Äý¾Û̬ÎïÀíµÄ¸ñÁÖº¯ÊýÀíÂÛ¡·¡ì7.4 µã Õó¹¹ÔìµÄÀ©Õ¹ ÖеÄÒ»¸öÎÊÌâ Èçͼ£¬ÇëÎÊʽ£¨7.4.5£©µÄÁ½Ê½ÈçºÎµÃµ½£¿GºÍgµÄ¾ØÕóÐÎʽµ½µ×ÊÇÔõÑùµÄ£¿ £¨ÆäÖÐÌáµ½µÄ£¨7.4.1£©Ê½Îª Åú×¢ 2020-08-17 103117.jpg |
» ²ÂÄãϲ»¶
Ò»Ö¾Ô¸0817»¯Ñ§¹¤³ÌÓë¼¼Êõ£¬Çóµ÷¼Á
ÒѾÓÐ8È˻ظ´
271·ÖÇóµ÷¼ÁѧУ
ÒѾÓÐ3È˻ظ´
285Çóµ÷¼Á
ÒѾÓÐ4È˻ظ´
ÉúÎïѧ308·ÖÇóµ÷¼Á£¨Ò»Ö¾Ô¸»ª¶«Ê¦´ó£©
ÒѾÓÐ7È˻ظ´
296²ÄÁÏר˶Çóµ÷¼Á
ÒѾÓÐ18È˻ظ´
²ÄÁÏÓ뻯¹¤306·ÖÕÒµ÷¼Á
ÒѾÓÐ18È˻ظ´
302Çóµ÷¼Á
ÒѾÓÐ9È˻ظ´
Ò»Ö¾Ô¸±±¾©¿Æ¼¼´óѧ²ÄÁϹ¤³Ì085601£¬Çóµ÷¼Á
ÒѾÓÐ11È˻ظ´
283·Ö²ÄÁÏÓ뻯¹¤Çóµ÷¼Á
ÒѾÓÐ19È˻ظ´
326Çóµ÷¼Á
ÒѾÓÐ8È˻ظ´
zhengyongyb
½ð³æ (ÕýʽдÊÖ)
- Ó¦Öú: 44 (СѧÉú)
- ½ð±Ò: 179.6
- ºì»¨: 3
- Ìû×Ó: 349
- ÔÚÏß: 144.8Сʱ
- ³æºÅ: 1187369
- ×¢²á: 2011-01-11
- ÐÔ±ð: GG
- רҵ: Äý¾Û̬ÎïÐÔ II £ºµç×ӽṹ
2Â¥2020-08-19 22:11:14
zhengyongyb
½ð³æ (ÕýʽдÊÖ)
- Ó¦Öú: 44 (СѧÉú)
- ½ð±Ò: 179.6
- ºì»¨: 3
- Ìû×Ó: 349
- ÔÚÏß: 144.8Сʱ
- ³æºÅ: 1187369
- ×¢²á: 2011-01-11
- ÐÔ±ð: GG
- רҵ: Äý¾Û̬ÎïÐÔ II £ºµç×ӽṹ
¡¾´ð°¸¡¿Ó¦Öú»ØÌû
3Â¥2020-08-19 22:20:50














»Ø¸´´ËÂ¥