| 查看: 1162 | 回复: 7 | ||
| 【悬赏金币】回答本帖问题,作者化工小鱼将赠送您 25 个金币 | ||
[求助]
电池比容量增加 已有2人参与
|
||
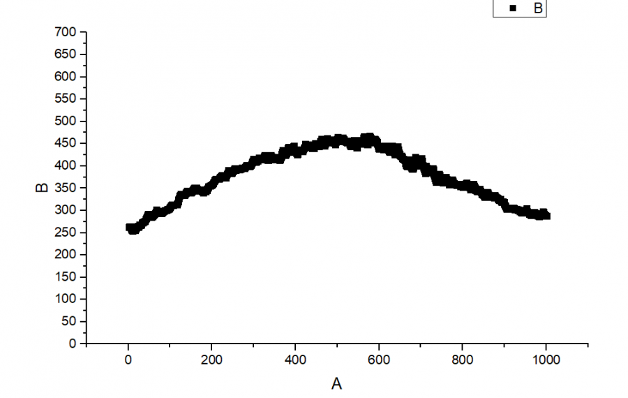
大家好!本人现在做纯碳负极,组装完纽扣电池后 ,进行充放电循环,设定循环300圈,但是每次都是前几十圈较为稳定,再继续循环,比容量就会增加,差不多循环完一百多圈后,最后的容量会比初始容量高1,200,但是我看文献上和我同类型的碳负极的变化幅度就很小,想问问各位这是怎么回事,怎么解决?我之前看有的虫友说,多孔电极会出现这种活化现象,但是我的材料不是多孔的,想问问大家这种状况怎么解决![]() ![]() ![]() |
» 猜你喜欢
齐鲁工业大学 国家重点实验室-新能源、锂离子电池、材料、化学方向
已经有0人回复
一志愿前4位代码0703均可报名-河北大学分析化学专业招收调剂考生
已经有69人回复
物理化学论文润色/翻译怎么收费?
已经有176人回复
★★爆★★0860生物与医药调剂考生看过来,河北大学化学与材料科学学院
已经有86人回复
杰青/长江团队招收调剂
已经有0人回复
中南林业科技大学罗勇锋教授团队2026年招收材料类调剂研究生(第二批)
已经有2人回复
电子科技大学材料学院王翀教授拟招收工程博士一名(化学、材料方向)
已经有2人回复
湖南农业大学能源材料创新团队招收2026化学专业研究生(学硕)调剂
已经有7人回复
奥尔堡Xinxin Xiao课题组招收一名岗位制博士(酶基生物电化学)
已经有0人回复
济南大学 材料科学与工程 李金凯课题组 招收调剂生2名(2026级)
已经有0人回复
Synthesis of NCo@CNT-NFT Hierarchical Carbon Dendrites.
已经有0人回复
» 本主题相关商家推荐: (我也要在这里推广)
2楼2020-08-12 15:35:40
3楼2020-08-12 15:53:06
Gamry-电化学
金虫 (职业作家)
- ECEPI: 3
- 应助: 651 (博士)
- 金币: 1210.1
- 散金: 1293
- 红花: 1275
- 帖子: 3702
- 在线: 506.2小时
- 虫号: 3437295
- 注册: 2014-09-24
- 专业: 电化学
4楼2020-08-12 16:23:44
5楼2020-08-12 17:34:08
★ ★ ★ ★ ★
化工小鱼(小毛球代发): 金币+5 2020-08-13 16:12:39
化工小鱼(小毛球代发): 金币+5 2020-08-13 16:12:39
|
电解液浸润不充分,可以多加一些电解液。石墨类的碳材料理论容量也就300多。你这个容量没有什么差别。你电解液多加一些,极片质量减少一些。 发自小木虫Android客户端 |
6楼2020-08-13 15:15:52
890206yjc
木虫 (正式写手)
- 应助: 29 (小学生)
- 金币: 2926.5
- 散金: 121
- 红花: 1
- 帖子: 520
- 在线: 235.8小时
- 虫号: 994169
- 注册: 2010-04-11
- 性别: GG
- 专业: 能源化工
7楼2020-08-13 15:47:02
8楼2020-08-13 20:46:38














,进行充放电循环,设定循环300圈,但是每次都是前几十圈较为稳定,再继续循环,比容量就会增加,差不多循环完一百多圈后,最后的容量会比初始容量高1,200,但是我看文献上和我同类型的碳负极的变化幅度就很小,想问问各位这是怎么回事,怎么解决?我之前看有的虫友说,多孔电极会出现这种活化现象,但是我的材料不是多孔的,想问问大家这种状况怎么解决
回复此楼