| 查看: 1811 | 回复: 1 | |
lushouqing铁杆木虫 (正式写手)
|
[求助]
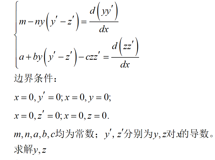
怎样求解如下微分方程组? 已有1人参与
|
|
|
|
hzlhm至尊木虫 (著名写手)
|
【答案】应助回帖
★ ★ ★ ★ ★ ★ ★ ★ ★ ★ ★ ★ ★ ★ ★ ★ ★ ★ ★ ★ ★ ★ ★ ★ ★ ★ ★ ★ ★ ★ ★ ★ ★ ★ ★ ★ ★ ★ ★ ★ ★ ★ ★ ★ ★ ★ ★ ★ ★ ★ ★ ★ ...
感谢参与,应助指数 +1 lushouqing: 金币+150, ★★★★★最佳答案, 非常感谢您的回复,不管我能不能用到,您回复我了就是对我很大的帮助。谢谢! 2020-08-11 20:16:07 |
![]() |
|
|
2楼2020-08-10 22:25:39
|
|














回复此楼
