| 查看: 602 | 回复: 0 | ||
| 【悬赏金币】回答本帖问题,作者热血青年666将赠送您 20 个金币 | ||
[求助]
comsol如何求解下列耦合方程
|
||
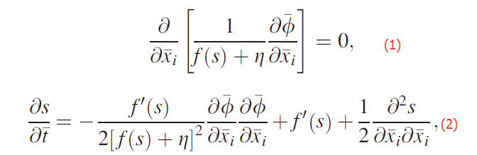
如上图所示,一个是稳态的方程(1),有点像泊松方程,方程(2)是与方程(1)相关的另一个方程。待求变量为s(x,t),和Φ(x,t)。如果将两个方程写入一个方程组,不好弄边界条件,因为方程(1)和方程(2)在不同的边界,边界条件不一样。 求助 ![]() w307h766090_1432794243_154.png@wuming524 |
» 猜你喜欢
材料与化工考研调剂
已经有13人回复
一志愿211院校 344分 东北农业大学生物学学硕,求调剂
已经有5人回复
一志愿北京化工大学材料与化工 264分各科过A区国家线
已经有7人回复
275求调剂
已经有12人回复
材料与化工085600,总分304,本科有两篇sci参与,求调剂
已经有7人回复
0856材料化工调剂 总分330
已经有4人回复
308求调剂
已经有6人回复
一志愿陕师大生物学071000,298分,求调剂
已经有5人回复
0856材料专硕353求调剂
已经有8人回复
南昌大学材料专硕311分求调剂
已经有9人回复














如上图所示,一个是稳态的方程(1),有点像泊松方程,方程(2)是与方程(1)相关的另一个方程。待求变量为s(x,t),和Φ(x,t)。
回复此楼