| 查看: 1523 | 回复: 2 | |||
| 【悬赏金币】回答本帖问题,作者夜场卖笑7将赠送您 20 个金币 | |||
夜场卖笑7实习版主
|
[求助]
想请教下关于电击穿强度的weibull统计分布图的知识和做法 已有1人参与
|
||
|
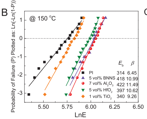
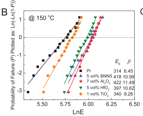
本人刚开始做介电材料,看了许多资料但是还是不了解weibull图是怎么拟合出来的,想请教下大家,在知道测试击穿强度数据下怎么确定函数的各个参数值,做出下面那个图 发自小木虫IOS客户端 |
» 猜你喜欢
一志愿同济大学323分(080500)求调剂
已经有3人回复
330分求调剂
已经有7人回复
336求调剂
已经有3人回复
285求调剂
已经有5人回复
调剂推荐
已经有9人回复
材料调剂
已经有6人回复
材料专硕322分
已经有3人回复
321求调剂
已经有5人回复
301求调剂
已经有6人回复
085600,321分求调剂
已经有13人回复
» 本主题相关商家推荐: (我也要在这里推广)
夜场卖笑7
兑换贵宾
![]()
![]()
![]()
![]()
- 应助: 0 (幼儿园)
- 金币: 101.6
- 散金: 20
- 红花: 2
- 帖子: 103
- 在线: 19.4小时
- 虫号: 8571899
- 注册: 2018-04-20
- 性别: GG
- 专业: 高分子材料结构与性能
2楼2020-08-07 15:31:15
chinaworm
新虫
-

专家经验: +731 - 应助: 419 (硕士)
- 贵宾: 0.099
- 金币: 7658.1
- 散金: 2746
- 红花: 122
- 帖子: 5201
- 在线: 551.7小时
- 虫号: 259426
- 注册: 2006-06-11
- 性别: GG
- 专业: 无机非金属类光电信息与功
- 管辖: 无机非金属

3楼2020-08-08 18:47:57














回复此楼