| ²é¿´: 5282 | »Ø¸´: 7 | |||
| ¡¾ÐüÉͽð±Ò¡¿»Ø´ð±¾ÌûÎÊÌ⣬×÷Õßjxaf0105247½«ÔùËÍÄú 20 ¸ö½ð±Ò | |||
jxaf0105247ľ³æ (ÕýʽдÊÖ)
|
[ÇóÖú]
ÕæÊµÓ¦Á¦Ó¦±ä ÒÑÓÐ1È˲ÎÓë
|
||
|
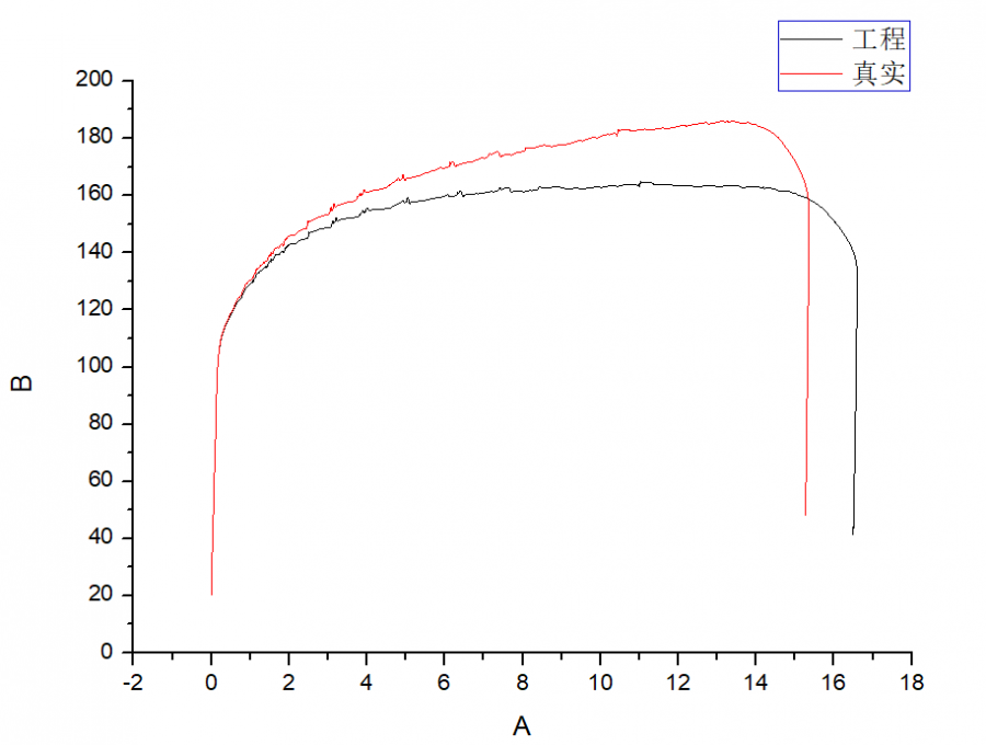
ÂÁºÏ½ðÔÚ×öÀÉìÊÔÑéʱ£¬¸ù¾Ý¹¤³ÌÓ¦Á¦Ó¦±äºÍÕæÊµÓ¦Á¦Ó¦±äµÄexcelÊý¾Ý×öµÄͼ£¬´æÔÚµÄÒÉ»óÊÇ£º1.ÎªÊ²Ã´ÕæÊµÓ¦Á¦Ó¦±äÇúÏß²»ÊDZ£³ÖÒ»Ö±ÉÏÉýµÄÇ÷ÊÆ£¿ 2.Ϊʲô¹¤³ÌÓ¦Á¦Ó¦±äÊÇˮƽµÄ£¿3.ÊéÉÏдÇü·þÇ¿¶ÈÊÇ0.2%ËÜÐÔ±äÐζÔÓ¦µÄÓ¦Á¦£¬Õâ¸ö0.2%Ö¸µÄÊǹ¤³ÌÓ¦±äΪ0.2%Âð£¿4.ÊDz»ÊÇ¿¹ÀÇ¿¶È£¬Çü·þÇ¿¶ÈÒÔ¼°ÑÓÉìÂÊÖ»ÄÜÓù¤³ÌÓ¦Á¦Ó¦±äÇúÏßÀ´µÃµ½£¿Çó´óÉñ½â»ó£¬²éÁË×ÊÁϵ«ÊDz»ÊǺÜÈ·¶¨¡£ 1.png 2.png@comma@wacky1980 |
» ÊÕ¼±¾ÌûµÄÌÔÌûר¼ÍƼö
½ðÊôµç»¯Ñ§¸¯Ê´ |
» ±¾ÌûÒÑ»ñµÃµÄºì»¨£¨×îÐÂ10¶ä£©
» ²ÂÄãϲ»¶
»úеר˶270Çóµ÷¼Á£¬½ÓÊÜ¿çרҵ
ÒѾÓÐ5È˻ظ´
²ÄÁÏÓ뻯¹¤300Çóµ÷¼Á
ÒѾÓÐ24È˻ظ´
»¹Óл¯¹¤¶þÂÖµ÷¼ÁµÄѧУÂð
ÒѾÓÐ38È˻ظ´
¿¼Ñе÷¼Á
ÒѾÓÐ17È˻ظ´
Çóµ÷¼Á
ÒѾÓÐ13È˻ظ´
Ò»Ö¾Ô¸2110£¬»¯Ñ§Ñ§Ë¶310·Ö£¬±¾¿ÆÖصãË«·ÇÇóµ÷¼Á
ÒѾÓÐ18È˻ظ´
²ÄÁÏÓ뻯¹¤371Çóµ÷¼Á
ÒѾÓÐ17È˻ظ´
293µ÷¼Á
ÒѾÓÐ24È˻ظ´
282£¬Çóµ÷¼Á
ÒѾÓÐ8È˻ظ´
»¯Ñ§¹¤³Ìµ÷¼Á289
ÒѾÓÐ47È˻ظ´

jxaf0105247
ľ³æ (ÕýʽдÊÖ)
2Â¥2020-08-07 09:43:21
Cñ´ÃÅÌÃ
Ìú¸Ëľ³æ (ÖøÃûдÊÖ)
- Ó¦Öú: 80 (³õÖÐÉú)
- ½ð±Ò: 5134.5
- ºì»¨: 13
- Ìû×Ó: 1418
- ÔÚÏß: 292.7Сʱ
- ³æºÅ: 2056269
- ×¢²á: 2012-10-12
- ÐÔ±ð: GG
- רҵ: ½ðÊô²ÄÁÏ
3Â¥2020-08-17 08:58:36
jxaf0105247
ľ³æ (ÕýʽдÊÖ)
- Ó¦Öú: 0 (Ó×¶ùÔ°)
- ½ð±Ò: 2453.9
- É¢½ð: 2294
- ºì»¨: 1
- Ìû×Ó: 821
- ÔÚÏß: 369.9Сʱ
- ³æºÅ: 1407379
- ×¢²á: 2011-09-19
- ÐÔ±ð: GG
- רҵ: ½ðÊô²ÄÁϵÄ΢¹Û½á¹¹
|
àÅàÅ£¬ÄǻͼµÄʱºòÓõÄÄÇÁ½ÁÐÄØ£¿ºóÃæÄÇÁ½ÁÐдµÄÕæÓ¦±äÓ¦Á¦£¬ËùÒÔÓеã㣬¶¼ÊÇÒ»¸öÑùÆ·µ¼³öÀ´µÄÊý¾Ý¡£ ·¢×ÔСľ³æIOS¿Í»§¶Ë |

4Â¥2020-08-17 19:32:17
9191924228
гæ (ÕýʽдÊÖ)
- Ó¦Öú: 0 (Ó×¶ùÔ°)
- ½ð±Ò: 1176.6
- ºì»¨: 3
- Ìû×Ó: 400
- ÔÚÏß: 8.8Сʱ
- ³æºÅ: 9570491
- ×¢²á: 2018-07-21
- רҵ: ½ðÊô²ÄÁÏ
5Â¥2020-08-17 22:25:04
9191924228
гæ (ÕýʽдÊÖ)
- Ó¦Öú: 0 (Ó×¶ùÔ°)
- ½ð±Ò: 1176.6
- ºì»¨: 3
- Ìû×Ó: 400
- ÔÚÏß: 8.8Сʱ
- ³æºÅ: 9570491
- ×¢²á: 2018-07-21
- רҵ: ½ðÊô²ÄÁÏ
6Â¥2020-08-17 22:25:12
ɽ½Åè
гæ (³õÈëÎÄ̳)
- Ó¦Öú: 0 (Ó×¶ùÔ°)
- ½ð±Ò: 80.5
- ºì»¨: 2
- Ìû×Ó: 31
- ÔÚÏß: 6.7Сʱ
- ³æºÅ: 4073492
- ×¢²á: 2015-09-15
- רҵ: ΢/ÄÉ»úеϵͳ
¡¾´ð°¸¡¿Ó¦Öú»ØÌû
|
1£ºÒòΪ¾±Ëõ£¬²ÄÁÏ·¢Éú¾±ËõÖ®ºó£¬ÒýÉì¼Æ¾Í²»ÄܱíÕ÷²ÄÁϵÄÓ¦±äÁË£¬ËùÒÔÓ¦Á¦Ó¦±äÇúÏß×ÔÈ»¾Í²»×¼ÁË£¨ÄãÒªÊÇÏë×¼¿ÉÒÔÓÃdicÀ´±íÕ÷Ó¦±ä£© 2£ºÒòΪ¸Ã²ÄÁÏËÜÐÔ±äÐν׶ÎÔØºÉ±ä»¯½ÏС 3£º²»ÊÇ£¬ËÜÐÔ±äÐÎ0.2%Õâ¸öÒªÇó£¬Ö¸µÄÊÇËÜÐÔÓ¦±äΪ0.2%£¬ËÜÐÔÓ¦±äµÄ¼ÆËãÐèÒªÓÃÕæÓ¦±ä¼õÈ¥µ¯ÐÔÓ¦±ä£¨ÑϸñµÄ˵£¬Õâ¸ö½Ð¹æ¶¨ËÜÐÔÑÓÉìÇ¿¶È£¬²»ÊÇÇü·þÇ¿¶È£¬Ö»ÊǶÔÓÚÇü·þƽ̨²»Ã÷ÏԵIJÄÁÏ¿ÉÒÔµ±³ÉÇü·þÇ¿¶ÈÓã© 4£º²»ÊÇ£¬¿¹ÀÇ¿¶È¿ÉÒÔÓù¤³ÌÓ¦Á¦-¹¤³ÌÓ¦±äÇúÏßË㣬Çü·þÐèÒªÓÃÕæÓ¦Á¦-ÕæÓ¦±äË㣬ÑÓÉìÂÊÐèÒª°Ñ¶Ï¿ªµÄÁ½½ÚÊÔÑùÆ´ÆðÀ´Á¿³¤¶ÈÖ®ºóÔÙËã |
» ±¾ÌûÒÑ»ñµÃµÄºì»¨£¨×îÐÂ10¶ä£©
7Â¥2020-08-29 17:08:00
jxaf0105247
ľ³æ (ÕýʽдÊÖ)
- Ó¦Öú: 0 (Ó×¶ùÔ°)
- ½ð±Ò: 2453.9
- É¢½ð: 2294
- ºì»¨: 1
- Ìû×Ó: 821
- ÔÚÏß: 369.9Сʱ
- ³æºÅ: 1407379
- ×¢²á: 2011-09-19
- ÐÔ±ð: GG
- רҵ: ½ðÊô²ÄÁϵÄ΢¹Û½á¹¹
Ëͺ컨һ¶ä |
¸Ðл»Ø¸´£¬Õ⼸ÌìÓÖÑо¿ÁËһϣ¬ÇëÎÊÕæÓ¦Á¦ºÍ¹¤³ÌÓ¦Á¦µÄת»¯¹«Ê½ÊDz»ÊÇÔÚÕâ¸öµØ·½²»ÊÊÓã¿×ª»¯ºóÇúÏßÉÏÉýÌØ±ð¿ì£¬ÄÜ´ïµ½¼¸Ç§MPa ·¢×ÔСľ³æIOS¿Í»§¶Ë |

8Â¥2020-08-30 12:37:00













»Ø¸´´ËÂ¥
