| 查看: 1337 | 回复: 11 | ||
[交流]
N2吸附介孔
|
||
» 抢金币啦!回帖就可以得到:
广西师范大学-石伟课题组2026年招收药学学硕 、生物与医药专硕调剂生
+1/492
欢迎报考赣南师范大学智能制造与未来能源学院
+2/142
三峡大学生态学招硕士调剂
+2/140
欢迎调剂北京石油化工学院聚合物功能材料组
+1/89
信息工程大学教授团队网络空间安全专业博士招生【2026年4月5日报名截止】
+2/62
济南大学水利与环境学院赵艳侠简介
+1/36
济南大学水利与环境学院赵艳侠教授简介
+1/26
招收调剂
+1/22
西南科技大学杨文彬教授课题组接收材料、化工、化学专业研究生调剂
+1/16
中国石油大学(北京)石油工程专业-开发方向课题组 2026年博士招生
+1/15
招聘科研助理——储能方向(储能、流体传热、CFD模拟)
+1/12
广东省环境科学研究院招聘质谱方向博士一名
+1/7
苏州初创公司诚聘化学过程工艺与硬件系统工程师
+1/6
08工学英一数二290 三个奖学金两个省三 一个省创优秀结项 B区求调剂
+1/6
现代材料与先进制造团队研究生招收公告
+1/6
陕西理工大学材料学院新能源团队招调剂生!!!
+1/6
北京双一流高校--环境科学与工程专业招收调剂
+1/5
招聘智慧建造或城乡规划背景硕士生
+1/3
【水文、水质模拟】香港科技大学(广州)博士后招聘
+1/2
【上海调剂捡漏】985联合培养!别错过能送你去交大/同济/中科院的神仙导师!
+1/2
★
zerowero(金币+1): 谢谢参与
zerowero(金币+1): 谢谢参与
|
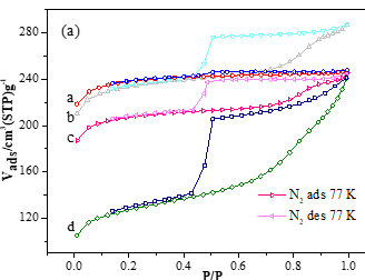
片状材料的堆积孔,比如:水滑石层板的堆积孔。欢迎参考: Applied Catalysis A: General,Volume 403, Issues 1–2,22 August 2011,Pages 173-182 Applied Catalysis B: Environmental,Volume 101, Issues 3–4,14 January 2011,Pages 431-440 Journal of Catalysis,Volume 296,December 2012,Pages 1-11 石墨烯材料也是这样的堆积孔 Fuel,Volume 163,1 January 2016,Pages 74-79 |
9楼2020-08-03 21:50:17
12楼2020-08-11 00:23:03
简单回复
tzynew2楼
2020-08-03 17:12
回复
zerowero(金币+1): 谢谢参与
9 发自小木虫Android客户端
q1q9w23楼
2020-08-03 17:52
回复
斓曦20194楼
2020-08-03 17:54
回复
zerowero(金币+1): 谢谢参与
。 发自小木虫Android客户端
华瑞华瑞5楼
2020-08-03 19:02
回复
我愿人长久6楼
2020-08-03 20:54
回复
zerowero(金币+1): 谢谢参与
强
云在青天7楼
2020-08-03 21:03
回复
2020-08-03 21:08
回复
zerowero(金币+1): 谢谢参与
psylhh10楼
2020-08-05 08:52
回复
zerowero(金币+1): 谢谢参与
nono200911楼
2020-08-10 09:37
回复
zerowero(金币+1): 谢谢参与
·














回复此楼