| ²é¿´: 763 | »Ø¸´: 2 | ||
| ¡¾ÐüÉͽð±Ò¡¿»Ø´ð±¾ÌûÎÊÌ⣬×÷ÕßCPYHH½«ÔùËÍÄú 15 ¸ö½ð±Ò | ||
CPYHH½ð³æ (ÖøÃûдÊÖ)
|
[ÇóÖú]
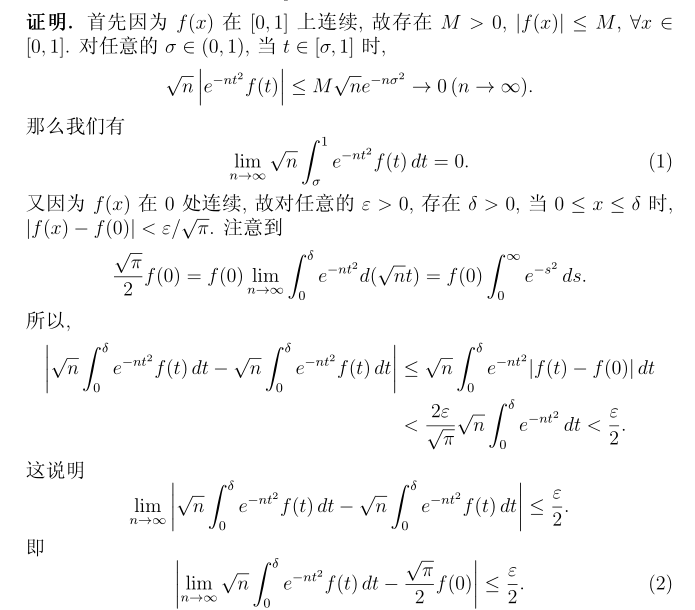
ÇóÖ¤Ò»¸öº¬Óлý·ÖµÄ¼«ÏÞÌâ ÒÑÓÐ1È˲ÎÓë
|
|
|
Èçͼ£¬ÏÈлл¸÷λÁË£¡ ·¢×ÔСľ³æAndroid¿Í»§¶Ë |
» ²ÂÄãϲ»¶
295·ÖÇóµ÷¼Á
ÒѾÓÐ3È˻ظ´
ɽ¶«¸ßУ½Ìʦ¿¼ºË³¬¼¶ÎÞµ×Ïߣ¬Ô±¹¤¹ý²»ÏÂÈ¥À²
ÒѾÓÐ4È˻ظ´
Çóµ÷¼Á
ÒѾÓÐ7È˻ظ´
µ÷¼Á
ÒѾÓÐ19È˻ظ´
²ÄÁÏÓ뻯¹¤µ÷¼Á
ÒѾÓÐ10È˻ظ´
307Çóµ÷¼Á
ÒѾÓÐ8È˻ظ´
303Çóµ÷¼Á
ÒѾÓÐ3È˻ظ´
²ÄÁÏÓ뻯¹¤300Çóµ÷¼Á
ÒѾÓÐ35È˻ظ´
²ÄÁÏרҵ344Çóµ÷¼Á
ÒѾÓÐ21È˻ظ´
Ò»Ö¾Ô¸±±Àí¹¤298Ó¢Ò»Êý¶þÇóµ÷¼Á
ÒѾÓÐ15È˻ظ´
songbai_hnu
гæ (³õÈëÎÄ̳)
- Ó¦Öú: 16 (СѧÉú)
- ½ð±Ò: 334.1
- ºì»¨: 3
- Ìû×Ó: 44
- ÔÚÏß: 18.5Сʱ
- ³æºÅ: 5160433
- ×¢²á: 2016-10-25
- רҵ: º¯ÊýÂÛ
¡¾´ð°¸¡¿Ó¦Öú»ØÌû
¸Ðл²ÎÓ룬ӦÖúÖ¸Êý +1
» ±¾ÌûÒÑ»ñµÃµÄºì»¨£¨×îÐÂ10¶ä£©
2Â¥2020-07-22 11:03:41
CPYHH
½ð³æ (ÖøÃûдÊÖ)
- Ó¦Öú: 0 (Ó×¶ùÔ°)
- ½ð±Ò: 8660.8
- É¢½ð: 65
- Ìû×Ó: 1840
- ÔÚÏß: 10.4Сʱ
- ³æºÅ: 15802086
- ×¢²á: 2019-08-01
- רҵ: º¯ÊýÂÛ
3Â¥2020-07-22 16:22:23













»Ø¸´´ËÂ¥
CPYHH