| 查看: 514 | 回复: 0 | ||
| 【悬赏金币】回答本帖问题,作者学员cNes43将赠送您 70 个金币 | ||
[求助]
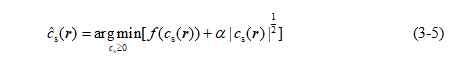
非线性最小二乘问题求解
|
||
|
公式推导 发自小木虫Android客户端 |
» 猜你喜欢
售SCI一区文章,我:8 O5 51O 54,科目齐全
已经有4人回复
售SCI一区文章,我:8 O5 51O 54,科目齐全
已经有4人回复
售SCI一区文章,我:8 O5 51O 54,科目齐全
已经有5人回复
售SCI一区文章,我:8 O5 51O 54,科目齐全
已经有4人回复
博士延得我,科研能力直往上蹿
已经有8人回复
有院领导为了换新车,用横向课题经费买了俩车
已经有7人回复
酰胺脱乙酰基
已经有12人回复
同年申请2项不同项目,第1个项目里不写第2个项目的信息,可以吗
已经有4人回复
有时候真觉得大城市人没有县城人甚至个体户幸福
已经有10人回复
天津大学招2026.09的博士生,欢迎大家推荐交流(博导是本人)
已经有5人回复













回复此楼