| ²é¿´: 804 | »Ø¸´: 2 | ||
| ¡¾ÐüÉͽð±Ò¡¿»Ø´ð±¾ÌûÎÊÌ⣬×÷Õß°Á°ÁµÄ½«ÔùËÍÄú 30 ¸ö½ð±Ò | ||
°Á°ÁµÄгæ (ÖøÃûдÊÖ)
|
[ÇóÖú]
MSD·ÖÎö ÒÑÓÐ1È˲ÎÓë
|
|
|
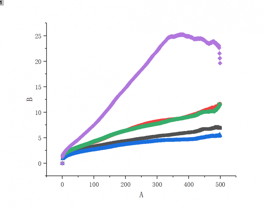
СµÜ¶Ô²ÄÁÏÔÚNVTģʽϽøÐÐMSD·ÖÎöʱ£¬³öÏÖÉÏÉýÖ®ºóϽµµÄÇé¿ö£¬ÏëÇë½ÌÏ´ó¼ÒÕâÖÖÇé¿ö¸ÃÈçºÎÀí½â¹þ£¿ 1593929303(1).jpg |
» ²ÂÄãϲ»¶
Ò»Ö¾Ô¸Ìì½ò´óѧ»¯Ñ§¹¤ÒÕרҵ£¨081702£©315·ÖÇóµ÷¼Á
ÒѾÓÐ8È˻ظ´
0703»¯Ñ§µ÷¼Á
ÒѾÓÐ3È˻ظ´
²ÄÁÏ£¬·ÄÖ¯£¬ÉúÎ0856¡¢0710£©£¬»¯Ñ§ÕÐÉúÀ²
ÒѾÓÐ9È˻ظ´
Ò»Ö¾Ô¸Öйúº£Ñó´óѧ£¬ÉúÎïѧ£¬301·Ö£¬Çóµ÷¼Á
ÒѾÓÐ3È˻ظ´
280Çóµ÷¼Á
ÒѾÓÐ4È˻ظ´
0703»¯Ñ§µ÷¼Á £¬Áù¼¶Òѹý£¬ÓпÆÑоÀú
ÒѾÓÐ9È˻ظ´
¹¤¿Æ²ÄÁÏ085601 279Çóµ÷¼Á
ÒѾÓÐ6È˻ظ´
070300»¯Ñ§319Çóµ÷¼Á
ÒѾÓÐ5È˻ظ´
ÉúÎïѧ071000 329·ÖÇóµ÷¼Á
ÒѾÓÐ3È˻ظ´
0703»¯Ñ§µ÷¼Á
ÒѾÓÐ6È˻ظ´
» ±¾Ö÷ÌâÏà¹ØÉ̼ÒÍÆ¼ö: (ÎÒÒ²ÒªÔÚÕâÀïÍÆ¹ã)
ÎÞÔ¶²»½ç
Ìú³æ (ÕýʽдÊÖ)
- Ó¦Öú: 2 (Ó×¶ùÔ°)
- ½ð±Ò: 2651.6
- ºì»¨: 6
- Ìû×Ó: 481
- ÔÚÏß: 347.5Сʱ
- ³æºÅ: 2102396
- ×¢²á: 2012-11-02
- ÐÔ±ð: GG
- רҵ: ½»Í¨¹¤³Ì
2Â¥2020-07-19 20:46:14
¹ùͬѧ
½ð³æ (ÖøÃûдÊÖ)
- Ó¦Öú: 27 (СѧÉú)
- ½ð±Ò: 4356.4
- É¢½ð: 101
- ºì»¨: 12
- Ìû×Ó: 1130
- ÔÚÏß: 61.2Сʱ
- ³æºÅ: 5358557
- ×¢²á: 2016-12-15
- ÐÔ±ð: GG
- רҵ: »¯Ñ§¹¤³Ì¼°¹¤Òµ»¯Ñ§
3Â¥2020-07-30 23:20:21













»Ø¸´´ËÂ¥
5