| 查看: 748 | 回复: 2 | ||
| 【悬赏金币】回答本帖问题,作者YeEriccc将赠送您 5 个金币 | ||
[求助]
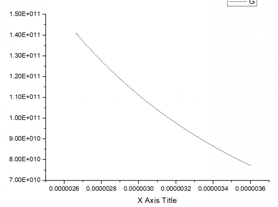
NiO@CdS的Mott-Schottky测试问题
|
||
|
如下图 不知道测试出现了什么问题,只有一种斜率,是不是参数设置出错或者其他什么问题,望大佬赐教 测得样品是0.4CdS@NiO,但是好像只显示NiO P型半导体的斜率 测Mott测试需不需要电源呀,我们这个是没有采用光源 还望懂得人赐教,第一次接触,很多地方不懂,谢谢大家了 1.png 2.png |
» 猜你喜欢
锂离子电池循环寿命衰减过快,求机理分析与改进思路
已经有2人回复
求博导收留
已经有6人回复
物理化学论文润色/翻译怎么收费?
已经有185人回复
CSC & MSCA 博洛尼亚大学能源材料课题组博士/博士后招生|MSCA经费充足、排名优
已经有6人回复
德国Karlsruhe Institute of Technology招收电化学储能及联合培养CSC博士等
已经有20人回复
德国Karlsruhe Institute of Technology招收电化学储能及联合培养CSC博士
已经有23人回复
德国Karlsruhe Institute of Technology招收电化学储能及联合培养CSC博士
已经有1人回复
固态锂金属电池迁移数计算求助
已经有1人回复
荷兰奈梅亨大学赵文博与Galimberti课题组招收理论计算CSC博士 2000 欧元/月+房补
已经有0人回复
26储能博士申请自荐
已经有22人回复
上海交通大学--宁波东方理工大学电池方向博士招生
已经有10人回复
2楼2020-07-03 18:32:19
3楼2020-07-03 18:32:56













回复此楼