Znn3bq.jpeg
±±¾©Ê¯ÓÍ»¯¹¤Ñ§Ôº2026ÄêÑо¿ÉúÕÐÉú½ÓÊÕµ÷¼Á¹«¸æ
²é¿´: 1349  |  »Ø¸´: 4
¡¾Óн±½»Á÷¡¿»ý¼«»Ø¸´±¾Ìû×Ó£¬²ÎÓë½»Á÷£¬¾ÍÓлú»á·ÖµÃ×÷Õß Bachelor. µÄ 16 ¸ö½ð±Ò £¬»ØÌû¾ÍÁ¢¼´»ñµÃ 1 ¸ö½ð±Ò£¬Ã¿ÈËÓÐ 1 ´Î»ú»á

Bachelor.

ľ³æ (ÖøÃûдÊÖ)


[½»Á÷] DOS·ÖÎöÎÊÌâ

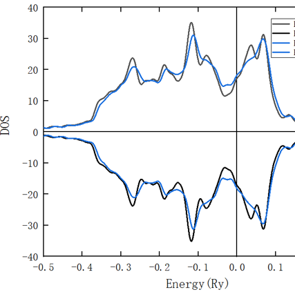
ÈçͼËùʾ£¬À¶É«ÊDzôÔÓÔ­×ÓºóµÄµÄTDOSÇúÏߣ¬ºÚÉ«µÄÊÇ´¿½ðÊôµÄTDOSÇúÏߣ¬Ò²¾ÍÊDzôÔÓÔ­×Óºó£¬TDOSµÄ·å±äµÍÁË£¬¶øÇÒλÓÚ·ÑÃ×Äܼ¶Á½²àµÄÁ½¸ö·åµÍµÄ½Ó½üÏûʧÁË£¬ÇëÎÊÕâÄÜ˵Ã÷ʲô£¿Ð»Ð»´ó¼ÒÁË

DOS·ÖÎöÎÊÌâ
DOS.png
»Ø¸´´ËÂ¥

» ²ÂÄãϲ»¶

» ÇÀ½ð±ÒÀ²£¡»ØÌû¾Í¿ÉÒԵõ½:

²é¿´È«²¿É¢½ðÌù

ÒÑÔÄ   »Ø¸´´ËÂ¥   ¹Ø×¢TA ¸øTA·¢ÏûÏ¢ ËÍTAºì»¨ TAµÄ»ØÌû
¼òµ¥»Ø¸´
tzynew2Â¥
2020-07-03 11:12   »Ø¸´  
Bachelor.(½ð±Ò+1): лл²ÎÓë
8 ·¢×ÔСľ³æAndroid¿Í»§¶Ë
syhorchid3Â¥
2020-07-03 13:02   »Ø¸´  
Bachelor.(½ð±Ò+1): лл²ÎÓë
2020-07-03 13:35   »Ø¸´  
Bachelor.(½ð±Ò+1): лл²ÎÓë
·¢×ÔСľ³æAndroid¿Í»§¶Ë
2020-07-06 07:04   »Ø¸´  
Bachelor.(½ð±Ò+1): лл²ÎÓë
·¢×ÔСľ³æAndroid¿Í»§¶Ë
Ïà¹Ø°æ¿éÌø×ª ÎÒÒª¶©ÔÄÂ¥Ö÷ Bachelor. µÄÖ÷Ìâ¸üÐÂ
Ìáʾ: Èç¹ûÄúÔÚ30·ÖÖÓÄڻظ´¹ýÆäËûÉ¢½ðÌù£¬Ôò¿ÉÄÜÎÞ·¨ÁìÈ¡´ËÌù½ð±Ò
×î¾ßÈËÆøÈÈÌûÍÆ¼ö [²é¿´È«²¿] ×÷Õß »Ø/¿´ ×îºó·¢±í
[¿¼ÑÐ] »úе¹¤³Ì264ѧ˶Çóµ÷¼Á +3 qiushangxian 2026-04-06 3/150 2026-04-08 01:53 by Linzejun
[¿¼ÑÐ] 0703»¯Ñ§µ÷¼Á 348·Ö +10 °¦ÎÒ³¬ÕæÃ»ÕÐÁË 2026-04-06 10/500 2026-04-08 00:45 by JourneyLucky
[¿¼ÑÐ] 285Çóµ÷¼Á +5 ¶ñ·¨´ó¶þµÄÆøÎ¶ß 2026-04-05 8/400 2026-04-07 23:37 by shanqishi
[¿¼ÑÐ] ũѧ£¬Çóµ÷¼Á£¬314·Ö +4 ·Ã¿Í¼Ç¼¿É°® 2026-04-04 4/200 2026-04-07 21:07 by µÈ°¶
[¿¼ÑÐ] ר˶085403£¬291·Ö£¬ÓÐÁ½Æª×¨Àû£¬Ò»¹úÒ»½± +3 ¹þ¼ªßä¹þ¼ªßä 2026-04-07 3/150 2026-04-07 18:21 by À¶ÔÆË¼Óê
[¿¼ÑÐ] 305·ÖÇóµ÷¼Á +3 ¹þ_¹þ_¹þ_¹þ_¹þ 2026-04-04 5/250 2026-04-07 14:49 by ¹þ_¹þ_¹þ_¹þ_¹þ
[¿¼ÑÐ] ²ÄÁϵ÷¼Á +17 СÁõͬѧ߹߹ 2026-04-06 18/900 2026-04-07 11:41 by Ê«Óë×ÔÓÉ
[¿¼ÑÐ] Çóµ÷¼Á Ò»Ö¾Ô¸Î÷ÄϽ»Í¨´óѧ085701»·¾³¹¤³Ì 282·Ö +13 ¶à¶à°®³Ôºº±¤ 2026-04-04 14/700 2026-04-07 11:22 by Ê«Óë×ÔÓÉ
[¿¼ÑÐ] 266·Ö£¬Ò»Ö¾Ô¸µçÆø¹¤³Ì£¬±¾¿Æ²ÄÁÏ£¬Çó²ÄÁÏרҵµ÷¼Á +12 ÍÛºôºßºôºß 2026-04-01 13/650 2026-04-07 10:02 by zhen¡«
[¿¼ÑÐ] 312Çóµ÷¼Á +4 LR6 2026-04-06 4/200 2026-04-07 08:42 by jp9609
[¿¼ÑÐ] 320·ÖÈ˹¤ÖÇÄܵ÷¼Á +8 Õñ¡ªTZ 2026-04-03 8/400 2026-04-05 22:33 by ·¶Ê½Ë¼Î¬
[¿¼ÑÐ] 271·ÖÇóµ÷¼ÁѧУ +12 zph158488£¡ 2026-04-02 13/650 2026-04-05 10:13 by lqwchd
[¿¼ÑÐ] 320Çóµ÷¼Á +3 Ò»ÑùÔ² 2026-04-04 3/150 2026-04-04 22:29 by à£à£à£0119
[¿¼ÑÐ] 331Çóµ÷¼Á +3 niby 2026-04-02 3/150 2026-04-04 19:56 by À¶ÔÆË¼Óê
[¿¼ÑÐ] ÉúÎïѧ308·ÖÇóµ÷¼Á£¨Ò»Ö¾Ô¸»ª¶«Ê¦´ó£© +7 ÏàÐűػá¹ââÍòÕ 2026-04-02 7/350 2026-04-03 16:48 by rzh123456
[¿¼ÑÐ] 260Çóµ÷¼Á +3 ÖìÜÆÁÕ 2026-04-02 3/150 2026-04-03 08:44 by yulian1987
[¿¼ÑÐ] Ò»Ö¾Ô¸ÉÂÎ÷ʦ·¶´óѧÉúÎïѧ317·Ö +5 1563ÈÕ¡£ 2026-04-02 5/250 2026-04-03 06:58 by ilovexiaobin
[¿¼ÑÐ] Ò»Ö¾Ô¸±±½»´ó²ÄÁϹ¤³Ì×Ü·Ö358 +3 cs0106 2026-04-02 5/250 2026-04-02 11:37 by olim
[¿¼ÑÐ] ¡¾Çóµ÷¼Á¡¿ÐÂÄÜÔ´²ÄÁϱ¾¿Æ£¬Ò»Ö¾Ô¸211£¬³õÊÔ321 +6 Çóµ÷¼ÁѧУ£¬ 2026-04-02 6/300 2026-04-02 09:41 by Çç¿Õ210210
[¿¼ÑÐ] 265Çóµ÷¼Á +11 yelck 2026-04-01 12/600 2026-04-01 19:12 by 549790059
ÐÅÏ¢Ìáʾ
ÇëÌî´¦ÀíÒâ¼û