| ²é¿´: 769 | »Ø¸´: 1 | |||
| ¡¾Óн±½»Á÷¡¿»ý¼«»Ø¸´±¾Ìû×Ó£¬²ÎÓë½»Á÷£¬¾ÍÓлú»á·ÖµÃ×÷Õß CaucLiuSha µÄ 6 ¸ö½ð±Ò | |||
CaucLiuShaгæ (СÓÐÃûÆø)
|
[½»Á÷]
µªÎü¸½ÍѸ½·ÖÎö
|
||
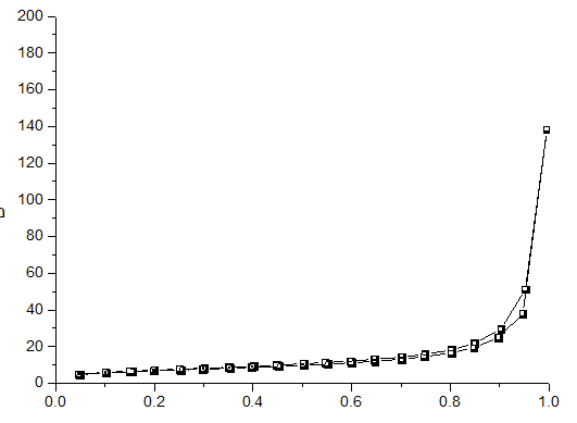
ÄÄλÀ´Ö¸µ¼Ò»Ï£¿×îºóÒ»½ØÖ±ÏßÉÏÉýµÄÔÒò£¿ÎªÊ²Ã´»ØÖÍ»·ºÜС£¿ÊÇÖÆÑùÎÊÌ⻹ÊDzâÊÔÎÊÌ⣿ÎÒÐèÒªÑé֤ʲô£¿Ôõô¸Ä½ø£¿µªÎü¸½.jpg ¿×¾¶·Ö²¼.png |
» ²ÂÄãϲ»¶
µçÆø×¨Ë¶320Çóµ÷¼Á
ÒѾÓÐ5È˻ظ´
Ò»Ö¾Ô¸Î÷±±¹¤Òµ´óѧ289 085602
ÒѾÓÐ33È˻ظ´
Ò»Ö¾Ô¸¹þ¹¤´ó 085600 277 12²Ä¿Æ»ùÇóµ÷¼Á
ÒѾÓÐ24È˻ظ´
268·Ö085602»¯Ñ§¹¤³Ìµ÷¼Á
ÒѾÓÐ28È˻ظ´
»¯Ñ§¹¤³Ìµ÷¼Á289
ÒѾÓÐ50È˻ظ´
Çóµ÷¼Á£¬262»úеר˶
ÒѾÓÐ8È˻ظ´
305Çóµ÷¼Á
ÒѾÓÐ6È˻ظ´
327Çóµ÷¼Á
ÒѾÓÐ5È˻ظ´
347Çóµ÷¼Á
ÒѾÓÐ4È˻ظ´
272·Ö²ÄÁÏ×ÓÇóµ÷¼Á
ÒѾÓÐ47È˻ظ´
w58404003
½ð³æ (Ö°Òµ×÷¼Ò)
- PEPI: 4
- Ó¦Öú: 70 (³õÖÐÉú)
- ½ð±Ò: 1318.2
- ºì»¨: 25
- Ìû×Ó: 4939
- ÔÚÏß: 781.8Сʱ
- ³æºÅ: 499671
- ×¢²á: 2008-02-13
- ÐÔ±ð: GG
- רҵ: ¸ß·Ö×Ӻϳɻ¯Ñ§
¡ï
Сľ³æ: ½ð±Ò+0.5, ¸ø¸öºì°ü£¬Ð»Ð»»ØÌû
Сľ³æ: ½ð±Ò+0.5, ¸ø¸öºì°ü£¬Ð»Ð»»ØÌû
|
???§»?????Y?????????d????????????? 1.???S?? ?O?????w??????????§à??????????????????? 2.??????????????????Y??????????????W?M???2001??13??1?? 3.????????????_????????d????. ?????g.????????W?????????W???I?????íà2005 4.???b? ?O?Üo ???? ?????t ?_???w ???????c??????????W???g?????íà2001 5. Gregg,S.J., Sing,K.S.W.??????????????c?????????W???I?????íà1989 6.Thomas W. J., Crittenden B.. Adsorption Technology and Design, Elsevier Science & Technology 1998 7.RuthvenD. M. Principles of Adsorption and Adsorption Processes, John Wiley & Sons (1984) 8.Suzuki M., Adsorption Engineering, Elsevier (1990) ??? 1.Brunauer, S., Emmett P. H.; Teller, E. Adsorption of gases in multimolecular layers. J. Am. Chem. Soc., 1938, 60??309-319 2.Barrett E. P.; Joyner L. G.; Halenda P. P.. The determination of pore volume and area??distributions in porous substances: I. computations from nitrogen isotherms . J. Am.Chem. Soc., 1951, 73??373-380 3.Sing K, Everett D, Haul R, Moscou L, Pierotti R, Rouquerol J, Siemieniewska T. Pure Appl. Chem, 1985, 57: 603-619 4.Kruk M., Jaroniec M., Sayari A.. Application of large pore MCM-41 molecular sieves to improve pore size analysis using nitrogen adsorption measurements. Langmuir, 1997, 13??6267-6273 5.Jaroniec M., Solovyov L. A.. Improvement of the Kruk-Jaroniec-Sayari Method for pore size analysis of ordered silicas with cylindrical mesopores. Langmuir, 2006, 22??6757-6760 6.Dbrowski A. Adv. Colloid Interface Sci., 2001, 93: 135-224 |
2Â¥2020-07-07 19:59:44













ÄÄλÀ´Ö¸µ¼Ò»Ï£¿×îºóÒ»½ØÖ±ÏßÉÏÉýµÄÔÒò£¿ÎªÊ²Ã´»ØÖÍ»·ºÜС£¿ÊÇÖÆÑùÎÊÌ⻹ÊDzâÊÔÎÊÌ⣿ÎÒÐèÒªÑé֤ʲô£¿Ôõô¸Ä½ø£¿
»Ø¸´´ËÂ¥