| ²é¿´: 670 | »Ø¸´: 1 | ||
| ¡¾ÐüÉͽð±Ò¡¿»Ø´ð±¾ÌûÎÊÌ⣬×÷ÕßСÐÜWinn1e½«ÔùËÍÄú 20 ¸ö½ð±Ò | ||
СÐÜWinn1eгæ (³õÈëÎÄ̳)
|
[ÇóÖú]
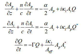
Çó½â²¼ÀïÔ¨ñîºÏ·½³Ì×é
|
|
|
|
||
luoshengfengľ³æ (ÕýʽдÊÖ)
|
|
|
![]() |
||
|
2Â¥2020-07-04 07:11:41
|
|
|














»Ø¸´´ËÂ¥
