24小时热门版块排行榜    

北京石油化工学院2026年研究生招生接收调剂公告
查看: 666  |  回复: 0
【悬赏金币】回答本帖问题,作者光光CFD将赠送您 5 个金币

光光CFD

金虫 (小有名气)

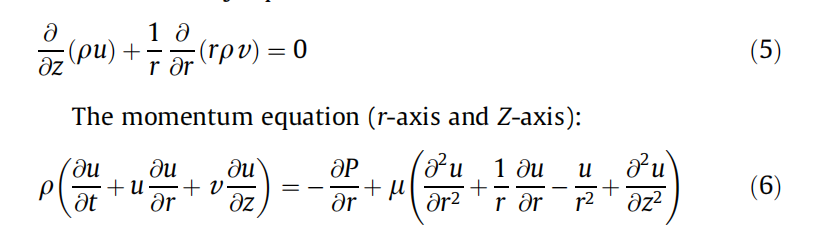
[求助] 直角坐标的图一三大控制方程化成图二三形式的柱坐标

把直角坐标的图一三大控制方程化成图二三形式的柱坐标

直角坐标的图一三大控制方程化成图二三形式的柱坐标
QQ截图20200629222033.png


直角坐标的图一三大控制方程化成图二三形式的柱坐标-1
QQ截图20200629222045.png


直角坐标的图一三大控制方程化成图二三形式的柱坐标-2
QQ截图20200629222051.png
回复此楼
已阅   回复此楼   关注TA 给TA发消息 送TA红花 TA的回帖
相关版块跳转 我要订阅楼主 光光CFD 的主题更新
不应助 确定回帖应助 (注意:应助才可能被奖励,但不允许灌水,必须填写15个字符以上)
最具人气热帖推荐 [查看全部] 作者 回/看 最后发表
[考研] 0817化学工程与技术求调剂,一志愿中海洋319 +14 lv945 2026-04-04 14/700 2026-04-06 10:20 by 蓝云思雨
[考研] 316求调剂 +5 yyx想调剂 2026-04-05 5/250 2026-04-05 22:22 by 咔咔咔咔9
[考研] 求调剂求调剂 +8 121. 2026-04-02 8/400 2026-04-05 20:15 by lys0704
[考研] 工科求调剂 +15 11ggg 2026-04-03 15/750 2026-04-05 16:24 by zzx2138
[考研] 272求调剂 +4 电气李 2026-04-05 4/200 2026-04-05 10:41 by lbsjt
[考研] 288求调剂,一志愿华南理工大学071005 +6 ioodiiij 2026-04-04 6/300 2026-04-05 10:09 by guoweigw
[考研] 一志愿电子科技大学085600材料与化工 329分求调剂 +10 Naiko 2026-04-04 10/500 2026-04-05 09:40 by sam3303
[考研] 324求调剂 +9 想上学求调 2026-04-03 9/450 2026-04-04 23:57 by 果冻大王
[考研] 323求调剂 +8 李佳乐1 2026-04-04 8/400 2026-04-04 22:26 by hemengdong
[考研] 一志愿华北电力大学(北京),材料科学与工程学硕265,求调剂 +11 yelck 2026-04-03 12/600 2026-04-04 19:52 by dongzh2009
[考研] 求调剂 +6 朔朔话 2026-04-02 7/350 2026-04-04 19:16 by 蓝云思雨
[考研] 268求调剂 +8 你好tg 2026-04-03 9/450 2026-04-04 05:08 by gswylq
[考研] 求材料调剂 一志愿南昌大学 328分 +5 yyy..... 2026-04-03 5/250 2026-04-03 13:46 by 百灵童888
[考博] 材料工程专业硕士申博 +3 麟正宇 2026-03-30 3/150 2026-04-02 15:04 by greychen00
[考研] 一志愿北交大材料工程,总分358 +4 cs0106 2026-04-01 4/200 2026-04-02 07:42 by 尚水阁主
[考研] 求调剂0703 +5 周嘉尧 2026-03-31 8/400 2026-04-01 20:32 by ltltkkk
[考研] 求0861交通运输专硕or材料专硕调剂 +4 勒布朗@ 2026-03-31 4/200 2026-04-01 09:54 by 一只好果子?
[考研] 335求调剂 +3 321* 2026-03-31 4/200 2026-04-01 00:00 by 321*
[考研] 吉大生物学326分求调剂 +3 sunnyupup 2026-03-31 3/150 2026-03-31 09:28 by longlotian
[考研] 福建理工大学材料学院先进合金团队招收考研调剂学生 +3 大华金商都 2026-03-30 4/200 2026-03-31 01:04 by 方英俊602
信息提示
请填处理意见