| 查看: 806 | 回复: 2 | ||
| 【悬赏金币】回答本帖问题,作者xiaochuanli将赠送您 10 个金币 | ||
xiaochuanli至尊木虫 (著名写手)
|
[求助]
在excel里面怎么计算数组的求和已有1人参与
|
|
|
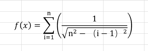
在excel里怎么计算图片中的函数。我知道用数组。但是试了几次都提示错误。 =SUM(1/SQRT((A1^2)-(ROW(1:A1)-1)^2)) 不知道哪里没用写对。A1是公式里面的n. 豆豆函数.png |
» 猜你喜欢
康复大学泰山学者周祺惠团队招收博士研究生
已经有6人回复
AI论文写作工具:是科研加速器还是学术作弊器?
已经有3人回复
孩子确诊有中度注意力缺陷
已经有6人回复
2026博士申请-功能高分子,水凝胶方向
已经有6人回复
论文投稿,期刊推荐
已经有4人回复
硕士和导师闹得不愉快
已经有13人回复
请问2026国家基金面上项目会启动申2停1吗
已经有5人回复
同一篇文章,用不同账号投稿对编辑决定是否送审有没有影响?
已经有3人回复
ACS Applied Polymer Materials投稿
已经有10人回复
RSC ADV状态问题
已经有4人回复
西红柿大侠
至尊木虫 (文坛精英)
侠之大者
- 应助: 0 (幼儿园)
- 金币: 12319.2
- 散金: 3942
- 沙发: 5
- 帖子: 39108
- 在线: 1984.2小时
- 虫号: 19981698
- 注册: 2019-12-01
- 性别: GG
- 专业: 自然语言理解与机器翻译
2楼2020-07-02 14:40:02
kingspin
木虫 (著名写手)
- 应助: 254 (大学生)
- 金币: 4472.5
- 红花: 74
- 帖子: 1635
- 在线: 315.5小时
- 虫号: 2585875
- 注册: 2013-08-07
- 性别: GG
- 专业: 聚合物共混与复合材料

3楼2020-07-02 17:25:15













回复此楼