| 查看: 780 | 回复: 0 | |||
[交流]
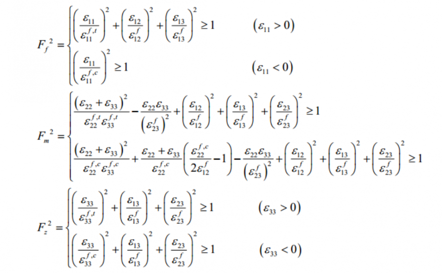
Abaqus 通过VUMAT子程序模拟复合材料的低速冲击行为
|
|
单元的应力应变关系 [1]. 徐颖, 温卫东与崔海坡, 复合材料层合板低速冲击逐渐累积损伤预测方法. 材料科学与工程学报, 2006(01): 第77-81页. [2]. 王跃全, 童明波与朱书华, 三维复合材料层合板渐进损伤非线性分析模型. 复合材料学报, 2009(05): 第159-166页. 最后,有相关需求,欢迎通过微信公众号联系我们。 微信公众号:320科技工作室。 |
» 猜你喜欢
269求调剂
已经有3人回复
318求调剂
已经有5人回复
电子信息270求调剂
已经有5人回复
专硕085403,291分,有两篇专利,一国一奖
已经有3人回复
312求调剂
已经有20人回复
290求调剂085701
已经有16人回复
081200-11408-276学硕求调剂
已经有5人回复
327求调剂
已经有5人回复
一志愿085404,总分291,四级已过,求调剂
已经有8人回复
285求调剂
已经有16人回复















回复此楼
5