| 查看: 531 | 回复: 1 | ||
| 【悬赏金币】回答本帖问题,作者胡文静将赠送您 10 个金币 | ||
[求助]
matlab 已有1人参与
|
||
|
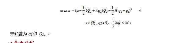
基于matlab。的非线性规划代码怎么写 @月只蓝 @beefly 发自小木虫Android客户端 |
» 猜你喜欢
山西大同大学物理学硕士研究生招收调剂生
已经有0人回复
[调剂信息]211智能人工感知方向国家青年特聘专家课题组招收调剂研究生
已经有0人回复
物理学I论文润色/翻译怎么收费?
已经有65人回复
[调剂信息]211智能人工感知方向国家青年特聘专家课题组招收调剂研究生
已经有0人回复
[调剂信息]211智能人工感知方向国家青年特聘专家课题组招收调剂研究生
已经有0人回复
0702一志愿吉大B区求调剂 本科期间发表一篇Sci
已经有2人回复
070200求调剂,一志愿某211,288分
已经有18人回复
法国博士后职位
已经有0人回复
重庆交大26年硕士生招生拟调剂通知已出!欢迎加入机器视觉与3D光学成像课题组。
已经有0人回复
独孤神宇
版主 (知名作家)
- 应助: 490 (硕士)
- 贵宾: 0.008
- 金币: 31016.3
- 散金: 802
- 红花: 122
- 沙发: 1
- 帖子: 5600
- 在线: 856.5小时
- 虫号: 3522474
- 注册: 2014-11-06
- 性别: GG
- 专业: 机械动力学
- 管辖: 计算模拟

2楼2020-06-28 08:21:26














回复此楼