| 查看: 938 | 回复: 0 | |||
[交流]
Spring-ICE 结冰算法述评-(2)水滴轨迹计算
|
|
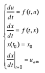
spring-ice系列前述两篇文章: 1、飞机结冰的那些事 2、spring-ice 结冰算法述评-(1)水滴轨迹计算 今天要聊的内容,既常规又不常规。 说其常规,是因为水滴轨迹的计算是所有结冰计算的基础算法,不可或缺,是必备技能。说其非常规是因为,尽管目前文献对这个计算过程描述的已经足够详细,但是还有很多的技术细节,非实际操作而不可揣摩,正是这些具体的技术细节决定着计算的准确性、效率,甚至是整个结冰算法的设计逻辑。 我这段时间感悟,任何工程的东西,越涉及到基础的和实践的,自己必须要亲自去试一试,做一做,且不能是简单的感受下,而要做出效果,做出感悟。要一竿子插到底,摸到边。 如果我做复材,我就要亲自去做一做材料成型,研究试件加工,然后试验测试,最后是结果处理。反复的想,整个过程和我仿真或者理论,哪些是对应的,哪些是不同的,这些不同会有什么影响,有些试验现象的机理是什么,能不能从理论层面找到依据。 如果我们现在的身份不是一个学生,不是面向自己的课题。而是一个工程师面对一个项目,整个项目不是一个人能够完成的,那么作为组织者,是不是给别人分个工,等着大家的结果就完事了?我想不是,即便没有精力面面俱到,那么至少应该精通某一方面,然后瞄准项目的目标,搞清楚大家的工作和目标的联系,然后对重点问题深入研究,要搞懂要把控。总而言之,必须实践,必须讲求细节。 1 水滴轨迹计算到底要干啥? 从结冰计算整个层面来说,所谓结冰就是水滴撞在机翼表面然后冻结的现象。水滴轨迹的计算,就是要搞清楚水滴会撞击到机翼表面的哪些区域,每个区域水滴撞击的量(即水滴收集量)是多少,为下一步的结冰物理计算提供输入。 从算法的层面,水滴轨迹计算需要做以下工作: (1)控制方程建立。说白了,水滴在流场中的运动,满足什么方程。 (2)求解方程,计算轨迹。水滴在流场中运动,肯定要有流场的计算,然后是水滴运动方程的计算。 (3)水滴运动状态的判断。这个意思是说,要判断水滴在运动中是否已经撞击到了翼面,是否已经冲出了我们预设的计算边界,如果是,这个时候需要结束计算,然后存储这个结果,为水滴收集量的计算作输入。 2 水滴轨迹计算控制方程 首先是水滴运动控制方程,这个文献里都有,通常的拉格朗日法基本是下面这种形式: 这个方程,是考虑了水滴的浮力、重力、阻力、升力,从而根据牛顿第二定律建立的。说白了,就是高中的“受力分析”,然后列方程。 说着简单,要求解出来却要费点劲。好在文献里都说了,这个方程进一步化简为一阶常微分方程组,根据初值,采用龙格库塔法进行时间推进求解。这里涉及的是本科数值计算的内容。 转眼间,我们就用到了牛顿第二定律和数值计算方法。别急,还有重头戏。上面的方程中,需要用到流场速度。流场计算用什么算法? 流场算法的选择直接影响到需不需要做网格,结冰后网格需不需要写更新算法,这是结冰算法大框架的问题,十分重要。我就在这个问题上徘徊很久。最早我是准备写ns方程求解,为此我还摸索一套自己想的网格自动生成和更新方法。最后卡在ns方程上。 回过头看,当时ns方程应该是写出来了,但是网格域的问题,还有别的基本认知问题导致我认为自己走不下去了。被迫放弃了ns方程,在师兄的指导下,选择了面元法。 从现在看,面元法的选择无疑是对的,首先它足够简单,计算效率高。早期的空气动力学还管它加鳞片布源法,就是根据空气动力里“源”和“汇”的概念,在翼面上布置“源”,每个源对其他位置的流场都有一个影响,通过叠加这些影响再综合其在翼面上法向速度为0这样的边界条件,运用线性代数方法,求解这组方程,得到每个源的强度。然后再将每个源对流场中特定点影响求出来,叠加就是这个点的流场速度。 最简单的面元法,不考虑涡,两组线性代数方程,简单易上手。 除了简单,通过我上面的描述可知,面元法不需要划分流场网格,那么冰形长出来后,只需要把边界往外推进即可,不用重构网格,无疑解决了冰形更新带来的很多问题。 有人立马就要问了,那你这么算出来的结果准不准? 要回答这个问题,首先我们要搞清楚水滴的计算是两相流的问题,水滴自身的惯性使得它不会完全按照流线运动,也就是说,水滴的运动对流场是敏感的,但是不是我们想象中那么敏感,这就给我们的流场计算留出了裕度。另外一个方面,冰形的冰角位置和水滴收集量大的地方不是绝对的对应,因为水滴在翼面上会流动,这个流动对冰角位置的影响是很大的,而这个流动由结冰热力学方程确定的。也就说,即便前面流场的计算存在一定的误差,导致水滴的运动出现一定的偏差,但是最后的结冰热力学计算,可以把冰角的位置修正过来。 这个对我很有启发,作为一个涉及多个学科的平台开发,在能不能算的准的问题上,一定要首先考虑好,最后的结果有没有兜底的修正项,找到这个兜底的,前面遇到一些影响效率的东西或者很复杂的东西,可以适当舍弃。 3 水滴状态的判断 水滴状态无外乎三种: (1)处于运动区; (2)冲出设定区域; (3)撞到翼面。 前两种状态容易判断,关键是如何判断水滴撞到的翼面。这个说起来也很容易,用到的是初中的代数知识。只要连接水滴当前位置和上一个时间的位置,和翼面各段逐个求交,有交点的就是撞到了。如果撞到了,还要给出来撞到的位置。 4 算法设计 程序的设计结构如下: (1)初始条件定义。水滴的初始位置,不能太远,不能太近。远了,计算效率低;近了,算的不准。具体多少,看你经验了,多试几次看看。 (2)当前水滴位置的流场速度计算; (3)求解水滴运动方程,得到水滴在当前时间间隔内运动的距离,然后更新水滴位置; (4)判断水滴状态,如果冲出防线,或者撞到翼面,停止计算; (5)如果处于运动状态,重复步骤(2)-(4)。 需要注意的是,时间推进求解水滴轨迹,理论上时间间隔越小,肯定越准,但是呢这就意味着算的慢。太粗了也不行,后面水滴接近翼面后,时间间隔大,算的不准。我们折中下,定义一个范围,当水滴接近前缘一定范围内,加密计算,其他的区域就适当粗一点。下面的图很明显的反映了这一设置特点: 5 小结 上面的方法是spring-ice水滴轨迹计算算法思想。有时候看文献的时候常常想,前辈们真聪明,这些控制方程明明白白,还想到求解方法。其实仔细了解下,早期的计算模型往往也很简单,我们常人去做大部分也能想到。随着时间的推移,无数学者的努力,这些模型被不断完善,不断变的复杂高深。 我们还是要从这些繁复的理论里面,探寻些朴素且基础的设计思想,必要时候还要融入自己的理解,起码做到这个算法的灵活运用。 最后 欢迎大家关注我们的微信公众号。 微信公众号:320科技工作室。 |
» 猜你喜欢
336求调剂
已经有4人回复
求生物学调剂
已经有8人回复
08生物与医药专硕初试346找调剂
已经有6人回复
生物学327,求调剂
已经有6人回复
0710生物学求调剂
已经有7人回复
385分 生物学(071000)求调剂
已经有4人回复
材料考研调剂
已经有4人回复
366求调剂一志愿东北大学
已经有3人回复
08工科275分求调剂
已经有13人回复
材料工程322分
已经有6人回复















回复此楼