| 查看: 708 | 回复: 2 | |
| 【悬赏金币】回答本帖问题,作者liuchang1将赠送您 10 个金币 | |
[求助]
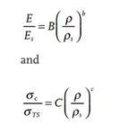
四边形和六边形蜂窝强度 已有1人参与
|
|
|
|
|
西红柿大侠至尊木虫 (文坛精英)
侠之大者
|
|
|
2楼2020-06-29 19:06:42
|
|
kingspin木虫 (著名写手)
|
|
![]() |
|
|
3楼2020-06-30 22:00:09
|
|













回复此楼
