| ²é¿´: 1181 | »Ø¸´: 4 | ||
| ¡¾ÐüÉͽð±Ò¡¿»Ø´ð±¾ÌûÎÊÌ⣬×÷ÕßµûÖ®Áµ0026½«ÔùËÍÄú 20 ¸ö½ð±Ò | ||
µûÖ®Áµ0026гæ (³õÈëÎÄ̳)
|
[ÇóÖú]
Matlab»òËÓÐÆäËûÈí¼þµÄ´óÀУ¬Çó°ï棬±§È£¡ ÒÑÓÐ1È˲ÎÓë
|
|
|
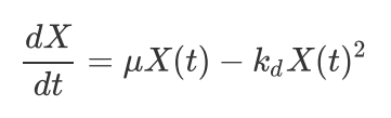
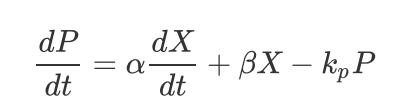
ÇóÖú£¡£¡£¡ÓÐÄÄλ´óÀпÉÒÔ°ïæ½âһϴø²ÎÊýµÄ³£Î¢·Ö·½³Ì×飿ÐèÒªÄâºÏ³£Êý²ÎÊý¡£·½³ÌÈçÏÂͼ£¬Êý¾ÝÈçÏ£º tʱ¼ä(h) X(g/L) G(g/L) ²úÎïP(g/L) 0.00 1.29 90.50 0.00 6.00 2.81 87.50 0.00 12.00 7.16 81.50 0.81 18.00 12.80 72.50 1.62 24.00 15.97 60.50 4.06 30.00 18.67 52.50 10.56 36.00 19.49 45.00 21.12 42.00 20.54 41.50 34.11 48.00 20.65 36.50 43.05 54.00 21.00 34.00 56.04 60.00 20.87 31.00 73.91 66.00 21.10 25.00 92.59 72.00 21.21 20.50 109.64 78.00 21.33 16.00 121.02 84.00 21.32 13.50 134.01 90.00 21.31 10.00 142.13 96.00 20.84 6.00 144.57 102.00 20.36 3.00 142.94 108.00 19.88 3.00 139.70 ΢ÐÅͼƬ_20200613091535.png ΢ÐÅͼƬ_20200613091544.png ΢ÐÅͼƬ_20200613091548.png ΢ÐÅͼƬ_20200613091551.png@ÔÂÖ»À¶@beefly |
» ²ÂÄãϲ»¶
ɽÎ÷´óͬ´óѧÎïÀíѧ˶ʿÑо¿ÉúÕÐÊÕµ÷¼ÁÉú
ÒѾÓÐ0È˻ظ´
[µ÷¼ÁÐÅÏ¢]211ÖÇÄÜÈ˹¤¸ÐÖª·½Ïò¹ú¼ÒÇàÄêÌØÆ¸×¨¼Ò¿ÎÌâ×éÕÐÊÕµ÷¼ÁÑо¿Éú
ÒѾÓÐ0È˻ظ´
ÎïÀíѧIÂÛÎÄÈóÉ«/·ÒëÔõôÊÕ·Ñ?
ÒѾÓÐ247È˻ظ´
£Ûµ÷¼ÁÐÅÏ¢£Ý211ÖÇÄÜÈ˹¤¸ÐÖª·½Ïò¹ú¼ÒÇàÄêÌØÆ¸×¨¼Ò¿ÎÌâ×éÕÐÊÕµ÷¼ÁÑо¿Éú
ÒѾÓÐ0È˻ظ´
[µ÷¼ÁÐÅÏ¢]211ÖÇÄÜÈ˹¤¸ÐÖª·½Ïò¹ú¼ÒÇàÄêÌØÆ¸×¨¼Ò¿ÎÌâ×éÕÐÊÕµ÷¼ÁÑо¿Éú
ÒѾÓÐ0È˻ظ´
0702Ò»Ö¾Ô¸¼ª´óBÇøÇóµ÷¼Á ±¾¿ÆÆÚ¼ä·¢±íһƪSci
ÒѾÓÐ2È˻ظ´
070200Çóµ÷¼Á£¬Ò»Ö¾Ô¸Ä³211£¬288·Ö
ÒѾÓÐ18È˻ظ´
·¨¹ú²©Ê¿ºóְλ
ÒѾÓÐ0È˻ظ´
ÖØÇì½»´ó26Äê˶ʿÉúÕÐÉúÄâµ÷¼Á֪ͨÒѳö£¡»¶Ó¼ÓÈë»úÆ÷ÊÓ¾õÓë3D¹âѧ³ÉÏñ¿ÎÌâ×é¡£
ÒѾÓÐ0È˻ظ´
¶À¹ÂÉñÓî
°æÖ÷ (ÖªÃû×÷¼Ò)
- Ó¦Öú: 490 (˶ʿ)
- ¹ó±ö: 0.008
- ½ð±Ò: 31016.3
- É¢½ð: 802
- ºì»¨: 122
- ɳ·¢: 1
- Ìû×Ó: 5600
- ÔÚÏß: 856.5Сʱ
- ³æºÅ: 3522474
- ×¢²á: 2014-11-06
- ÐÔ±ð: GG
- רҵ: »úе¶¯Á¦Ñ§
- ¹ÜϽ: ¼ÆËãÄ£Äâ
¡¾´ð°¸¡¿Ó¦Öú»ØÌû
¸Ðл²ÎÓ룬ӦÖúÖ¸Êý +1
|
΢·Ö·½³Ì×é²ÎÊýÄâºÏ¿ÉÒÔ¿¼ÂÇ ÀûÓÃode45º¯Êý+lsqnonlinº¯ÊýʵÏÖ https://blog.sina.com.cn/s/blog_c0cb8ce60102ysqu.html |

2Â¥2020-06-13 09:51:52
southpark007
½û³æ (ÖøÃûдÊÖ)
|
±¾ÌûÄÚÈݱ»ÆÁ±Î |
3Â¥2020-06-13 10:17:48
µûÖ®Áµ0026
гæ (³õÈëÎÄ̳)
- Ó¦Öú: 0 (Ó×¶ùÔ°)
- ½ð±Ò: 148.3
- Ìû×Ó: 38
- ÔÚÏß: 8Сʱ
- ³æºÅ: 8004296
- ×¢²á: 2018-02-10
- ÐÔ±ð: MM
- רҵ: ÉúÎïϵͳ¹¤³ÌÑо¿µÄм¼Êõ
4Â¥2020-06-13 13:02:57
µûÖ®Áµ0026
гæ (³õÈëÎÄ̳)
- Ó¦Öú: 0 (Ó×¶ùÔ°)
- ½ð±Ò: 148.3
- Ìû×Ó: 38
- ÔÚÏß: 8Сʱ
- ³æºÅ: 8004296
- ×¢²á: 2018-02-10
- ÐÔ±ð: MM
- רҵ: ÉúÎïϵͳ¹¤³ÌÑо¿µÄм¼Êõ
5Â¥2020-06-13 13:03:27














»Ø¸´´ËÂ¥

10