| ²é¿´: 710 | »Ø¸´: 0 | ||
| ¡¾ÐüÉͽð±Ò¡¿»Ø´ð±¾ÌûÎÊÌ⣬×÷Õ߹ϹÏÁð½«ÔùËÍÄú 20 ¸ö½ð±Ò | ||
¹Ï¹ÏÁðгæ (³õÈëÎÄ̳)
|
[ÇóÖú]
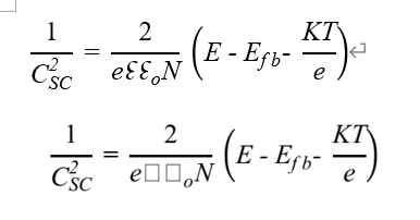
¡¶Inorganic Chemistry Communications¡·Í¶¸åÊǹ«Ê½·ûºÅ±ä³É¡õ
|
|
|
ͶÂÛÎÄʱ£¬¹«Ê½µÄ·ûºÅ±ä³É¡õÔõô´¦Àí£¿×Ô¼º×ª PDFʱûÓÐÎÊÌâ¡£ ·¢×ÔСľ³æAndroid¿Í»§¶Ë |
» ²ÂÄãϲ»¶
²ÄÁϵ÷¼Á
ÒѾÓÐ10È˻ظ´
Ò»Ö¾Ô¸¹þ¶û±õ¹¤Òµ´óѧ085600Ó¢Ò»Êý¶þ337·ÖÇóµ÷¼Á
ÒѾÓÐ5È˻ظ´
288Çóµ÷¼Á Ò»Ö¾Ô¸¹þ¹¤´ó ²ÄÁÏÓ뻯¹¤
ÒѾÓÐ11È˻ظ´
Çóµ÷¼Á£¬Ò»Ö¾Ô¸ÄϾ©º½¿Õº½Ìì´óѧ £¬080500²ÄÁÏ¿ÆÑ§Ó빤³Ìѧ˶
ÒѾÓÐ9È˻ظ´
±¾¿Æ211£¬293·ÖÇëÇóµ÷¼Á
ÒѾÓÐ4È˻ظ´
Çóµ÷¼Á
ÒѾÓÐ3È˻ظ´
085400µç×ÓÐÅÏ¢319Çóµ÷¼Á£¨½ÓÊÜ¿çרҵµ÷¼Á£©
ÒѾÓÐ5È˻ظ´
268Çóµ÷¼Á
ÒѾÓÐ9È˻ظ´
һ־Ը˫·Ç085502£¬267·Ö£¬¹ýËļ¶Çóµ÷¼Á
ÒѾÓÐ3È˻ظ´
Ò»Ö¾Ô¸085404£¬×Ü·Ö291£¬Ëļ¶Òѹý£¬Çóµ÷¼Á
ÒѾÓÐ4È˻ظ´














»Ø¸´´ËÂ¥