±±¾©Ê¯ÓÍ»¯¹¤Ñ§Ôº2026ÄêÑо¿ÉúÕÐÉú½ÓÊÕµ÷¼Á¹«¸æ
²é¿´: 457  |  »Ø¸´: 5

aa7758258

гæ (³õÈëÎÄ̳)


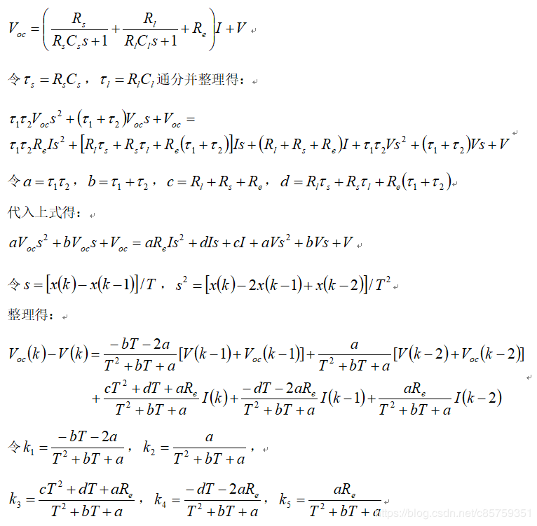
[½»Á÷] »ùÓÚÒÅÍüÒò×ÓµÄ×îС¶þ³Ë·¨µç³Ø²ÎÊý±æÊ¶

²ÎÊý±æÊ¶½á¹ûÁ¼ºÃ£¬¿ÉÒÔÏ໥½»Á÷ ÁªÏµ·½Ê½£º2057034985

»ùÓÚÒÅÍüÒò×ÓµÄ×îС¶þ³Ë·¨µç³Ø²ÎÊý±æÊ¶
1.png


»ùÓÚÒÅÍüÒò×ÓµÄ×îС¶þ³Ë·¨µç³Ø²ÎÊý±æÊ¶-1
2.png


»ùÓÚÒÅÍüÒò×ÓµÄ×îС¶þ³Ë·¨µç³Ø²ÎÊý±æÊ¶-2
3.png


»ùÓÚÒÅÍüÒò×ÓµÄ×îС¶þ³Ë·¨µç³Ø²ÎÊý±æÊ¶-3
4.png
»Ø¸´´ËÂ¥

» ²ÂÄãϲ»¶

» ÇÀ½ð±ÒÀ²£¡»ØÌû¾Í¿ÉÒԵõ½:

²é¿´È«²¿É¢½ðÌù

ÒÑÔÄ   »Ø¸´´ËÂ¥   ¹Ø×¢TA ¸øTA·¢ÏûÏ¢ ËÍTAºì»¨ TAµÄ»ØÌû
¼òµ¥»Ø¸´
tzynew2Â¥
2020-06-07 19:21   »Ø¸´  
aa7758258(½ð±Ò+1): лл²ÎÓë
8 ·¢×ÔСľ³æAndroid¿Í»§¶Ë
zfpd27663Â¥
2020-06-07 19:22   »Ø¸´  
aa7758258(½ð±Ò+1): лл²ÎÓë
¡£ ·¢×ÔСľ³æAndroid¿Í»§¶Ë
s_reg1634Â¥
2020-06-07 20:00   »Ø¸´  
aa7758258(½ð±Ò+1): лл²ÎÓë
.. ·¢×ÔСľ³æAndroid¿Í»§¶Ë
zhaokuiman5Â¥
2020-06-07 20:24   »Ø¸´  
aa7758258(½ð±Ò+1): лл²ÎÓë
àÅ ·¢×ÔСľ³æAndroid¿Í»§¶Ë
cecust6Â¥
2020-06-07 20:34   »Ø¸´  
aa7758258(½ð±Ò+1): лл²ÎÓë
×£¸£ ·¢×ÔСľ³æIOS¿Í»§¶Ë
Ïà¹Ø°æ¿éÌø×ª ÎÒÒª¶©ÔÄÂ¥Ö÷ aa7758258 µÄÖ÷Ìâ¸üÐÂ
×î¾ßÈËÆøÈÈÌûÍÆ¼ö [²é¿´È«²¿] ×÷Õß »Ø/¿´ ×îºó·¢±í
[¿¼ÑÐ] 306Çóµ÷¼Á +3 hybÉÏÃû¹¤ 2026-04-02 3/150 2026-04-04 18:12 by ÈÈÇéɳĮ
[¿¼ÑÐ] ²ÄÁÏ»¯¹¤306·ÖÕÒºÏÊʵ÷¼Á +10 ²×º£ÇáÖÛe 2026-04-04 10/500 2026-04-04 16:57 by dongzh2009
[¿¼ÑÐ] ²ÄÁÏ383Çóµ÷¼Á +4 ¹ùÑôÑôÑô³É 2026-04-04 4/200 2026-04-04 12:07 by Î޼ʵIJÝÔ­
[¿¼ÑÐ] »¯Ñ§µ÷¼ÁÇóÖú +6 LULONG1 2026-04-03 6/300 2026-04-03 23:13 by qzxyhcsy
[¿¼ÑÐ] 343Çóµ÷¼Á +8 °®î¿°í 2026-03-29 8/400 2026-04-03 22:19 by –¹Æ?
[¿¼ÑÐ] 329Çóµ÷¼Á£¬Ò»Ö¾Ô¸Î÷±±¹¤Òµ´óѧ£¬²ÄÁϹ¤³Ì£¨085601£© +8 СС»úÁ鳿 2026-03-29 14/700 2026-04-03 19:38 by lijunpoly
[¿¼ÑÐ] »úеר˶297 +3 Afksy 2026-04-03 3/150 2026-04-03 14:24 by 1753564080
[¿¼ÑÐ] 289-Çóµ÷¼Á +4 ÕâÀïÊÇ_ 2026-04-03 4/200 2026-04-03 14:23 by 1753564080
[¿¼ÑÐ] µ÷¼ÁÇóÖú +8 Ïë»»ÊÖ»ú²»Ïë½âÊ 2026-04-02 11/550 2026-04-03 14:16 by ÐÇ¿ÕÐÇÔÂ
[¿¼ÑÐ] ²ÄÁÏר˶ µ÷¼Á +11 CXN123456 2026-04-03 11/550 2026-04-03 14:09 by 1753564080
[¿¼ÑÐ] 282Çóµ÷¼Á +5 ºôÎü¶¼ÊǼõ·Ê 2026-03-31 5/250 2026-04-03 12:03 by 1753564080
[¿¼ÑÐ] 324Çóµ÷¼Á +12 ÏëÉÏѧÇóµ÷ 2026-04-02 12/600 2026-04-03 11:15 by linyelide
[¿¼ÑÐ] Çóµ÷¼Á22408 288·Ö +5 new382 2026-04-02 5/250 2026-04-03 09:13 by ×íÔÚ·çÀï
[¿¼ÑÐ] 312 »¯¹¤»òÖÆÒ©µ÷¼Á +8 ССī123 2026-04-02 9/450 2026-04-03 09:12 by zhouxiaoyu
[¿¼ÑÐ] ²ÄÁÏ0856 Ó¢Ò»Êý¶þ 323 Çóµ÷¼Á +10 Ô¬sy 2026-04-01 10/500 2026-04-02 19:52 by xingsh
[¿¼ÑÐ] 264·Ö£¬ÇóÈÎÒ⹤¿Æµ÷¼Á +4 zzlqwq 2026-03-29 5/250 2026-04-02 17:17 by ºÎÔø¼¸ºÎ
[¿¼ÑÐ] ũѧ¿¼ÑÐÇóµ÷¼Á +3 dkdkxm 2026-04-01 3/150 2026-04-02 16:04 by wangjagri
[¿¼ÑÐ] 270µ÷¼Á +7 maxjxbsk 2026-04-02 7/350 2026-04-02 09:50 by yulian1987
[¿¼ÑÐ] 290Çóµ÷¼Á +5 dfffsar 2026-03-29 5/250 2026-04-01 19:45 by 6781022
[¿¼ÑÐ] 279Çóµ÷¼Á +4 µûÎèÇáÈÆ 2026-03-29 4/200 2026-03-29 09:45 by laoshidan
ÐÅÏ¢Ìáʾ
ÇëÌî´¦ÀíÒâ¼û