| ²é¿´: 3756 | »Ø¸´: 10 | |||
Ñô¹âС³æ³æÐ³æ (СÓÐÃûÆø)
|
[½»Á÷]
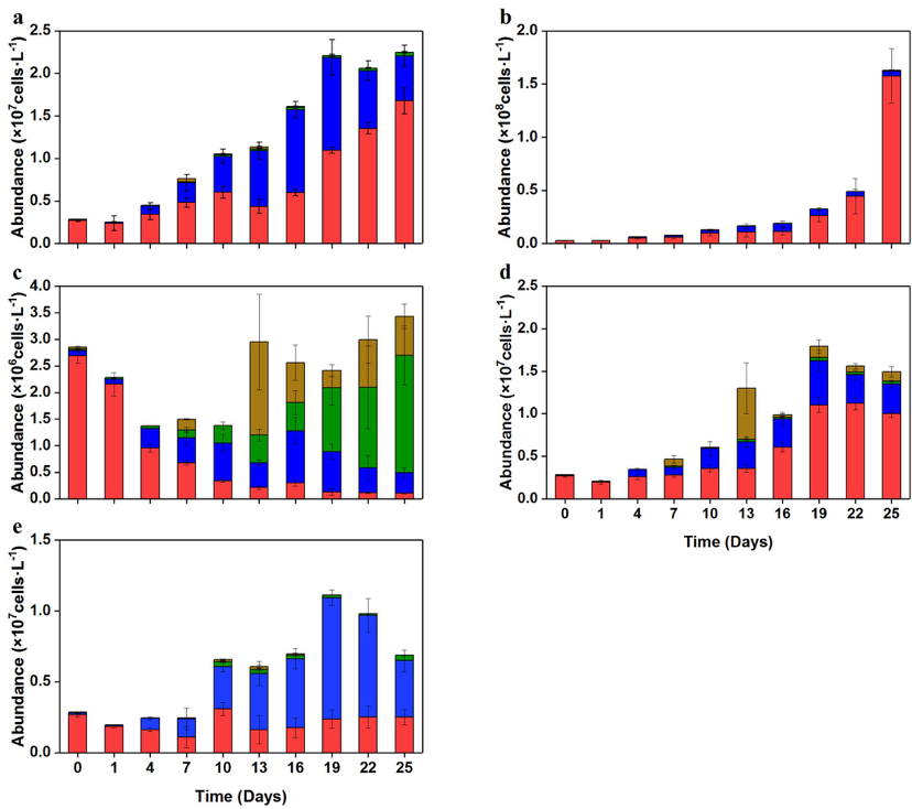
¶Ñ»ýÖù״ͼµÄÎó²î°ôÊÇÕâÑù»µÄÂð ÒÑÓÐ4È˲ÎÓë
|
||
|
µ«ÊÇÎÒÃÇÀÏʦ˵ÕâÑù»²»¶Ô£¬ÓÐûÓÐС»ï°éÖª²»ÖªµÀ£¬¸ø¸ö׼ȷµÄ´ð°¸£¬Ð»Ð»£¡ [eimg]g] ·¢×ÔСľ³æIOS¿Í»§¶Ë |
» ²ÂÄãϲ»¶
292Çóµ÷¼Á
ÒѾÓÐ7È˻ظ´
²ÄÁÏ383Çóµ÷¼Á
ÒѾÓÐ3È˻ظ´
Ò»Ö¾Ô¸±±½»´ó²ÄÁϹ¤³Ì×Ü·Ö358
ÒѾÓÐ6È˻ظ´
334Çóµ÷¼Á
ÒѾÓÐ8È˻ظ´
Ò»Ö¾Ô¸»¦985£¬326·ÖÇóµ÷¼Á
ÒѾÓÐ3È˻ظ´
085600£¬×¨Òµ¿Î»¯¹¤ÔÀí£¬321·ÖÇóµ÷¼Á
ÒѾÓÐ9È˻ظ´
Ò»Ö¾Ô¸C9µÄ»¯Ñ§¹¤³Ì£¨085602£© 340·Ö£¬¸Ð¾õУÄÚµ÷¼ÁÎÞÍû£¬Çóµ÷¼Á
ÒѾÓÐ7È˻ظ´
²ÄÁϵ÷¼Á
ÒѾÓÐ18È˻ظ´
Ò»Ö¾Ô¸±±¾©¿Æ¼¼´óѧ²ÄÁϹ¤³Ì085601£¬Çóµ÷¼Á
ÒѾÓÐ18È˻ظ´
280Çóµ÷¼Á
ÒѾÓÐ22È˻ظ´
ɺº÷º£super
ľ³æ (ÖøÃûдÊÖ)
- Ó¦Öú: 0 (Ó×¶ùÔ°)
- ½ð±Ò: 2378.9
- É¢½ð: 2097
- ºì»¨: 20
- ɳ·¢: 4
- Ìû×Ó: 1236
- ÔÚÏß: 141.7Сʱ
- ³æºÅ: 2692373
- ×¢²á: 2013-09-30
- ÐÔ±ð: GG
- רҵ: »·¾³¹¤³Ì
¡ï ¡ï
Сľ³æ: ½ð±Ò+0.5, ¸ø¸öºì°ü£¬Ð»Ð»»ØÌû
liouzhan654: ½ð±Ò+1, ¸Ðл½»Á÷ 2020-05-21 09:41:48
Сľ³æ: ½ð±Ò+0.5, ¸ø¸öºì°ü£¬Ð»Ð»»ØÌû
liouzhan654: ½ð±Ò+1, ¸Ðл½»Á÷ 2020-05-21 09:41:48
|
Æäʵ°É£¬¸Ð¾õÄãÕâô»ÊǶԵ쬵«ÊÇÄãÀÏʦµÄÒâ˼ÊÇÈÃÄãÖ»ÐèÒª¶ÔÿÌìÉúÎïÁ¿µÄ×ܺÍÇóÒ»¸ö±ê×¼²î¾ÍÐÐÁË£¬×îºóÏÔʾ³öÀ´¾ÍÊÇÖ»ÓÐÿ¸öÖù×ÓÉϵĶ¥¶ËÓÐÎó²îÏߣ¡ ·¢×ÔСľ³æIOS¿Í»§¶Ë |
2Â¥2020-05-21 09:10:31
mxnjfu
гæ (ÖªÃû×÷¼Ò)
- Ó¦Öú: 0 (Ó×¶ùÔ°)
- ½ð±Ò: 9890.9
- É¢½ð: 3500
- ºì»¨: 80
- Ìû×Ó: 7985
- ÔÚÏß: 257.1Сʱ
- ³æºÅ: 471628
- ×¢²á: 2007-12-02
- רҵ: »·¾³¹¤³Ì
¡ï
Сľ³æ: ½ð±Ò+0.5, ¸ø¸öºì°ü£¬Ð»Ð»»ØÌû
Сľ³æ: ½ð±Ò+0.5, ¸ø¸öºì°ü£¬Ð»Ð»»ØÌû
|
Ҫô¶Ô×ÜÁ¿×ö£¬ÒªÃ´Öù״ͼ²»Òªµþ¼Ó£¬¶ÔÿһÀà·Ö±ð×ö ·¢×ÔСľ³æAndroid¿Í»§¶Ë |
4Â¥2020-05-21 10:37:59
Ñô¹âС³æ³æ
гæ (СÓÐÃûÆø)
- Ó¦Öú: 0 (Ó×¶ùÔ°)
- ½ð±Ò: 202
- É¢½ð: 54
- Ìû×Ó: 197
- ÔÚÏß: 37.8Сʱ
- ³æºÅ: 7933948
- ×¢²á: 2018-02-05
- רҵ: »·¾³¹¤³Ì
|
µ«ÊÇÈç¹û»ÔÚ×î¶¥²¿»á²»»áÈñ༾õµÃÎÒÖ»×öÁË×îÉÏÃæµÄÒò±äÁ¿µÄÎó²î£¬Ã»ÓзÖÎöÆäËû±äÁ¿µÄÎó²î£¿ ![]() ·¢×ÔСľ³æIOS¿Í»§¶Ë |
3Â¥2020-05-21 09:56:11
ɺº÷º£super
ľ³æ (ÖøÃûдÊÖ)
- Ó¦Öú: 0 (Ó×¶ùÔ°)
- ½ð±Ò: 2378.9
- É¢½ð: 2097
- ºì»¨: 20
- ɳ·¢: 4
- Ìû×Ó: 1236
- ÔÚÏß: 141.7Сʱ
- ³æºÅ: 2692373
- ×¢²á: 2013-09-30
- ÐÔ±ð: GG
- רҵ: »·¾³¹¤³Ì
¡ï
Сľ³æ: ½ð±Ò+0.5, ¸ø¸öºì°ü£¬Ð»Ð»»ØÌû
Сľ³æ: ½ð±Ò+0.5, ¸ø¸öºì°ü£¬Ð»Ð»»ØÌû
|
Äǿ϶¨°¡£¬Äã¿ÉÒÔÄÃһЩÎÄÏ׸øÄãÀÏʦ¿´£¬±ðÈ˶¼ÊÇÕÕÄãÕâô×öµÄ£¡ ·¢×ÔСľ³æIOS¿Í»§¶Ë |
5Â¥2020-05-21 12:52:20
Ñô¹âС³æ³æ
гæ (СÓÐÃûÆø)
- Ó¦Öú: 0 (Ó×¶ùÔ°)
- ½ð±Ò: 202
- É¢½ð: 54
- Ìû×Ó: 197
- ÔÚÏß: 37.8Сʱ
- ³æºÅ: 7933948
- ×¢²á: 2018-02-05
- רҵ: »·¾³¹¤³Ì
6Â¥2020-05-21 13:19:18
Ñô¹âС³æ³æ
гæ (СÓÐÃûÆø)
- Ó¦Öú: 0 (Ó×¶ùÔ°)
- ½ð±Ò: 202
- É¢½ð: 54
- Ìû×Ó: 197
- ÔÚÏß: 37.8Сʱ
- ³æºÅ: 7933948
- ×¢²á: 2018-02-05
- רҵ: »·¾³¹¤³Ì
7Â¥2020-05-21 13:21:30
ɺº÷º£super
ľ³æ (ÖøÃûдÊÖ)
- Ó¦Öú: 0 (Ó×¶ùÔ°)
- ½ð±Ò: 2378.9
- É¢½ð: 2097
- ºì»¨: 20
- ɳ·¢: 4
- Ìû×Ó: 1236
- ÔÚÏß: 141.7Сʱ
- ³æºÅ: 2692373
- ×¢²á: 2013-09-30
- ÐÔ±ð: GG
- רҵ: »·¾³¹¤³Ì
¡ï
Сľ³æ: ½ð±Ò+0.5, ¸ø¸öºì°ü£¬Ð»Ð»»ØÌû
Сľ³æ: ½ð±Ò+0.5, ¸ø¸öºì°ü£¬Ð»Ð»»ØÌû
|
ÕâÑùµÄºÜ¶à°¡£¬ÎÒÒ²¿´µ½ºÜ¶àÎÄÏ×Õâô¸É°¡£¬»¹ÊÇnature¼¶ÎÄÏ×£¬ÄãÓÊÏ䏸ÎÒ£¬ÎÒ·¢ÄãһƪÎÄÏ×£¡ÄãÕâô×öÊǶÔ×ŵģ¡ ·¢×ÔСľ³æIOS¿Í»§¶Ë |
8Â¥2020-05-27 07:57:07
Ñô¹âС³æ³æ
гæ (СÓÐÃûÆø)
- Ó¦Öú: 0 (Ó×¶ùÔ°)
- ½ð±Ò: 202
- É¢½ð: 54
- Ìû×Ó: 197
- ÔÚÏß: 37.8Сʱ
- ³æºÅ: 7933948
- ×¢²á: 2018-02-05
- רҵ: »·¾³¹¤³Ì
9Â¥2020-06-25 00:01:00
»¯Ñ§txm
гæ (³õÈëÎÄ̳)
- Ó¦Öú: 0 (Ó×¶ùÔ°)
- ½ð±Ò: 32.5
- Ìû×Ó: 6
- ÔÚÏß: 13.2Сʱ
- ³æºÅ: 13184408
- ×¢²á: 2018-12-21
- ÐÔ±ð: MM
- רҵ: É«Æ×·ÖÎö

10Â¥2021-01-27 20:57:18














»Ø¸´´ËÂ¥

