| ²é¿´: 1447 | »Ø¸´: 14 | ||
| ¡¾ÐüÉͽð±Ò¡¿»Ø´ð±¾ÌûÎÊÌ⣬×÷ÕßãÆ·Ê·Êµ±Ñ§°Ô½«ÔùËÍÄú 30 ¸ö½ð±Ò | ||
ãÆ·Ê·Êµ±Ñ§°Ôгæ (ÕýʽдÊÖ)
|
[ÇóÖú]
Çë´óÉñ°ïÎÒÍÆ¸öÊýѧ¹«Ê½£¬Ð»Ð»
|
|
|
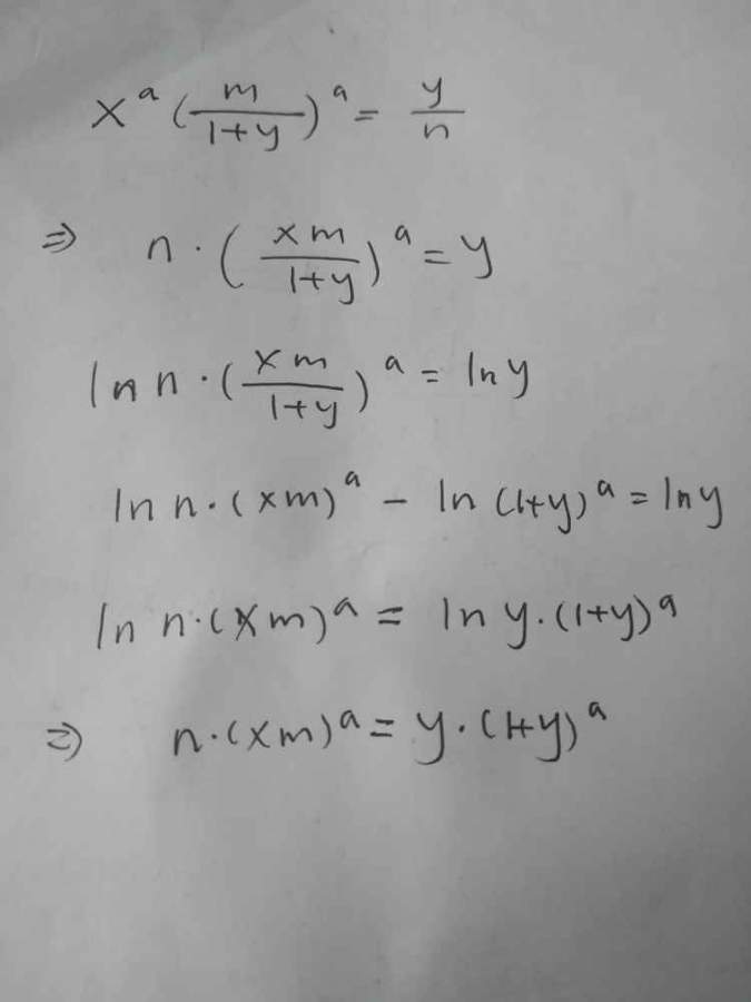
Ôʼ¹«Ê½¼ûÕÕÆ¬£¬ÇëÓÃx°Ñy±íʾ³öÀ´£¬ÆäËûµÄ×Öĸ¾ùΪÒÑÖªµÄÊýÖµ£¡Ð»Ð»À² ·¢×ÔСľ³æIOS¿Í»§¶Ë |
» ²ÂÄãϲ»¶
085701Çóµ÷¼Á
ÒѾÓÐ8È˻ظ´
321Çóµ÷¼Á
ÒѾÓÐ11È˻ظ´
26¿¼Ñе÷¼Á0710 0860
ÒѾÓÐ12È˻ظ´
270»¯¹¤Çóµ÷¼Á
ÒѾÓÐ9È˻ظ´
Ò»Ö¾Ô¸0817»¯Ñ§¹¤³ÌÓë¼¼Êõ£¬Çóµ÷¼Á
ÒѾÓÐ23È˻ظ´
309Çóµ÷¼Á
ÒѾÓÐ7È˻ظ´
Ò»Ö¾Ô¸±±¾©»¯¹¤´óѧ£¬³õÊԳɼ¨350Çóµ÷¼Á
ÒѾÓÐ7È˻ظ´
081700»¯Ñ§¹¤³ÌÓë¼¼Êõ Ò»Ö¾Ô¸Öк£Ñó 323 Çóµ÷¼ÁѧУ
ÒѾÓÐ13È˻ظ´
Çóµ÷¼Á£º085600²ÄÁÏÓ뻯¹¤£¬¿¼²Ä¿Æ»ù£¬×Ü·Ö319
ÒѾÓÐ24È˻ظ´
ÍÁľ304Çóµ÷¼Á
ÒѾÓÐ4È˻ظ´
Dopa-wei
гæ (ÕýʽдÊÖ)
- Ó¦Öú: 0 (Ó×¶ùÔ°)
- ½ð±Ò: 2348.8
- É¢½ð: 8
- ºì»¨: 9
- ɳ·¢: 3
- Ìû×Ó: 941
- ÔÚÏß: 169.5Сʱ
- ³æºÅ: 8140867
- ×¢²á: 2018-03-03
- רҵ: ½á¹¹¹¤³Ì
9Â¥2020-04-07 16:29:04
ãÆ·Ê·Êµ±Ñ§°Ô
гæ (ÕýʽдÊÖ)
- Ó¦Öú: 0 (Ó×¶ùÔ°)
- ½ð±Ò: 1229.6
- É¢½ð: 468
- ºì»¨: 3
- Ìû×Ó: 516
- ÔÚÏß: 86.1Сʱ
- ³æºÅ: 3899336
- ×¢²á: 2015-05-30
- ÐÔ±ð: GG
- רҵ: ǰº®Îä¼ÍµØÖÊѧ
5Â¥2020-04-07 15:30:29
Ïò×ÅδÀ´
Òø³æ (ÖøÃûдÊÖ)
- Ó¦Öú: 0 (Ó×¶ùÔ°)
- ½ð±Ò: 2720.2
- É¢½ð: 200
- ºì»¨: 8
- Ìû×Ó: 2024
- ÔÚÏß: 83.7Сʱ
- ³æºÅ: 5060052
- ×¢²á: 2016-09-26
- ÐÔ±ð: MM
- רҵ: ÐźÅÀíÂÛÓëÐźŴ¦Àí
2Â¥2020-04-07 15:10:06
ãÆ·Ê·Êµ±Ñ§°Ô
гæ (ÕýʽдÊÖ)
- Ó¦Öú: 0 (Ó×¶ùÔ°)
- ½ð±Ò: 1229.6
- É¢½ð: 468
- ºì»¨: 3
- Ìû×Ó: 516
- ÔÚÏß: 86.1Сʱ
- ³æºÅ: 3899336
- ×¢²á: 2015-05-30
- ÐÔ±ð: GG
- רҵ: ǰº®Îä¼ÍµØÖÊѧ
|
Êǵģ¬ÎÒÄÔ´üãÂ㣬ÔÚÎÄÏ×Öп´µ½µÄy±í´ïx£¬ÎÒµÄÄ¿µÄÏà·´£¬¸ã²»³öÀ´ÁË ·¢×ÔСľ³æIOS¿Í»§¶Ë |
3Â¥2020-04-07 15:12:27
ÄäÃû
Óû§×¢Ïú (ÕýʽдÊÖ)
- Ó¦Öú: 0 (Ó×¶ùÔ°)
- ½ð±Ò: 989.5
- É¢½ð: 296
- Ìû×Ó: 363
- ÔÚÏß: 44.4Сʱ
- ³æºÅ: 0
- ×¢²á: 2015-11-05
- רҵ: Éùѧ
4Â¥2020-04-07 15:23:36
ãÆ·Ê·Êµ±Ñ§°Ô
гæ (ÕýʽдÊÖ)
- Ó¦Öú: 0 (Ó×¶ùÔ°)
- ½ð±Ò: 1229.6
- É¢½ð: 468
- ºì»¨: 3
- Ìû×Ó: 516
- ÔÚÏß: 86.1Сʱ
- ³æºÅ: 3899336
- ×¢²á: 2015-05-30
- ÐÔ±ð: GG
- רҵ: ǰº®Îä¼ÍµØÖÊѧ
|
ÕâÊÇÔʼ¹«Ê½£¬ÆäÖÐf´ú±íÁËx£¬Rf´ú±íÁËy£¬ÎÒÊǰÑËü¼ò»¯ÁË£¬²»ÖªµÀÊDz»ÊÇÎÒÎóµ¼ÁË£¬Í·´ó ·¢×ÔСľ³æIOS¿Í»§¶Ë |
6Â¥2020-04-07 15:31:25
Dopa-wei
гæ (ÕýʽдÊÖ)
- Ó¦Öú: 0 (Ó×¶ùÔ°)
- ½ð±Ò: 2348.8
- É¢½ð: 8
- ºì»¨: 9
- ɳ·¢: 3
- Ìû×Ó: 941
- ÔÚÏß: 169.5Сʱ
- ³æºÅ: 8140867
- ×¢²á: 2018-03-03
- רҵ: ½á¹¹¹¤³Ì
7Â¥2020-04-07 15:45:41
ãÆ·Ê·Êµ±Ñ§°Ô
гæ (ÕýʽдÊÖ)
- Ó¦Öú: 0 (Ó×¶ùÔ°)
- ½ð±Ò: 1229.6
- É¢½ð: 468
- ºì»¨: 3
- Ìû×Ó: 516
- ÔÚÏß: 86.1Сʱ
- ³æºÅ: 3899336
- ×¢²á: 2015-05-30
- ÐÔ±ð: GG
- רҵ: ǰº®Îä¼ÍµØÖÊѧ
8Â¥2020-04-07 15:48:34
Dopa-wei
гæ (ÕýʽдÊÖ)
- Ó¦Öú: 0 (Ó×¶ùÔ°)
- ½ð±Ò: 2348.8
- É¢½ð: 8
- ºì»¨: 9
- ɳ·¢: 3
- Ìû×Ó: 941
- ÔÚÏß: 169.5Сʱ
- ³æºÅ: 8140867
- ×¢²á: 2018-03-03
- רҵ: ½á¹¹¹¤³Ì
10Â¥2020-04-07 16:29:33














»Ø¸´´ËÂ¥

10