| ²é¿´: 1420 | »Ø¸´: 8 | ||
| ¡¾ÐüÉͽð±Ò¡¿»Ø´ð±¾ÌûÎÊÌ⣬×÷ÕßѧԱ9OPggz½«ÔùËÍÄú 10 ¸ö½ð±Ò | ||
gaochuanpingÌú¸Ëľ³æ (ÖøÃûдÊÖ)
ÖÕ¼«ÀÇ
|
[ÇóÖú]
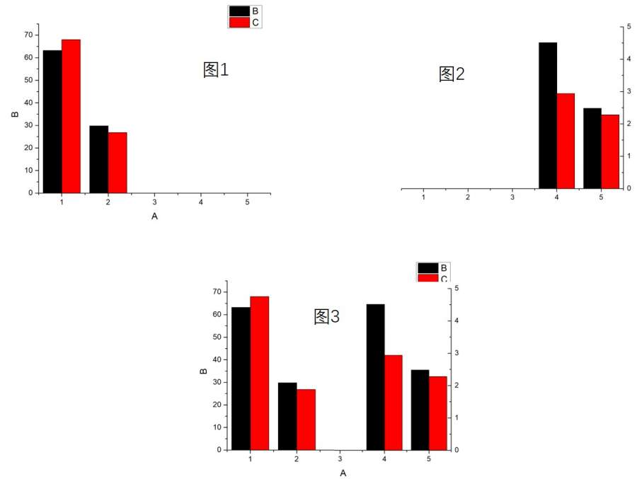
ÏÂÃæÁ½¸öͼÔõô×ö³ÉºÏ²¢ÎªÒ»¸öͼ£¿ ÒÑÓÐ1È˲ÎÓë
|
|
![]() |
||
|
|
||
ÉϽø°¡Ð³æ (ÕýʽдÊÖ)
|
||
|
2Â¥2020-03-02 21:51:04
|
|
|
Ò»¶Ù³ÔÎéÁ½½ð³æ (ÖøÃûдÊÖ)
|
|
|
|
3Â¥2020-03-02 21:53:04
|
|
|
С²ÜÀ²Ð³æ (ÕýʽдÊÖ)
|
||
|
4Â¥2020-03-02 22:10:04
|
|
|
jadeney2011ÖÁ×ðľ³æ (Ö°Òµ×÷¼Ò)
Õ¨ÌìÕ¨µØÕ¨ÂìÒÏ
|
||
|
5Â¥2020-03-03 04:38:21
|
|
|
gaochuanpingÌú¸Ëľ³æ (ÖøÃûдÊÖ)
ÖÕ¼«ÀÇ
|
||
![]() |
||
|
6Â¥2020-03-03 12:34:15
|
|
|
gaochuanpingÌú¸Ëľ³æ (ÖøÃûдÊÖ)
ÖÕ¼«ÀÇ
|
||
![]() |
||
|
7Â¥2020-03-03 12:34:29
|
|
|
gaochuanpingÌú¸Ëľ³æ (ÖøÃûдÊÖ)
ÖÕ¼«ÀÇ
|
||
![]() |
||
|
8Â¥2020-03-03 12:34:41
|
|
|
gaochuanpingÌú¸Ëľ³æ (ÖøÃûдÊÖ)
ÖÕ¼«ÀÇ
|
||
![]() |
||
|
9Â¥2020-03-03 12:34:47
|
|
|














»Ø¸´´ËÂ¥