| 查看: 1323 | 回复: 4 | |||
| 【有奖交流】积极回复本帖子,参与交流,就有机会分得作者 gis-CA 的 5 个金币 | |||
gis-CA新虫 (小有名气)
|
[交流]
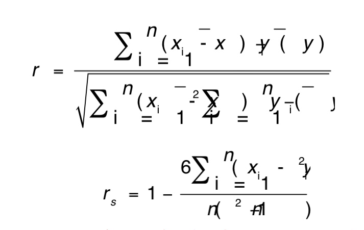
请问为什么word文档在生成pdf格式的时候会出现公式混乱的情况呢?跪求大神解决方案?
|
||
|
请问为什么word文档在生成pdf格式的时候会出现公式混乱的情况呢?跪求大神解决方案? 发自小木虫IOS客户端 |
» 猜你喜欢
297求调剂
已经有12人回复
26调剂 086003
已经有3人回复
265求调剂
已经有20人回复
271分求调剂学校
已经有11人回复
320分人工智能调剂
已经有6人回复
求调剂,一志愿南京航空航天大学 ,080500材料科学与工程学硕
已经有8人回复
280求调剂
已经有19人回复
求材料调剂,一志愿郑州大学289分
已经有15人回复
26考研调剂0710 0860
已经有6人回复
282求调剂
已经有22人回复

2楼2020-02-15 18:10:04
云卷风沙起
新虫 (著名写手)
- 应助: 0 (幼儿园)
- 金币: 1618.3
- 散金: 800
- 红花: 7
- 沙发: 20
- 帖子: 1629
- 在线: 138.5小时
- 虫号: 15259833
- 注册: 2019-06-03
- 性别: GG
- 专业: 制造系统与自动化
3楼2020-02-15 18:25:31

4楼2020-02-15 19:58:44
5楼2020-02-16 00:16:36














回复此楼