| 查看: 410 | 回复: 0 | |||
[交流]
一个figure的含义
|
|
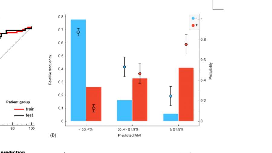
一篇预测MVI的文章,请问这个figure是什么意思,有什么意义(用于检验模型的准确性还是其他?) 发自小木虫Android客户端 |
» 猜你喜欢
面上项目申报
已经有3人回复
有时候真觉得大城市人没有县城人甚至个体户幸福
已经有5人回复
酰胺脱乙酰基
已经有9人回复
CSC & MSCA 博洛尼亚大学能源材料课题组博士/博士后招生|MSCA经费充足、排名优
已经有5人回复
有70后还继续奋斗在职场上的吗?
已经有6人回复
博士延得我,科研能力直往上蹿
已经有7人回复
退学或坚持读
已经有27人回复
面上基金申报没有其他的参与者成吗
已经有5人回复
遇见不省心的家人很难过
已经有22人回复













回复此楼