| 查看: 726 | 回复: 2 | |
| 【悬赏金币】回答本帖问题,作者闫文娟131将赠送您 10 个金币 | |
闫文娟131新虫 (初入文坛)
|
[求助]
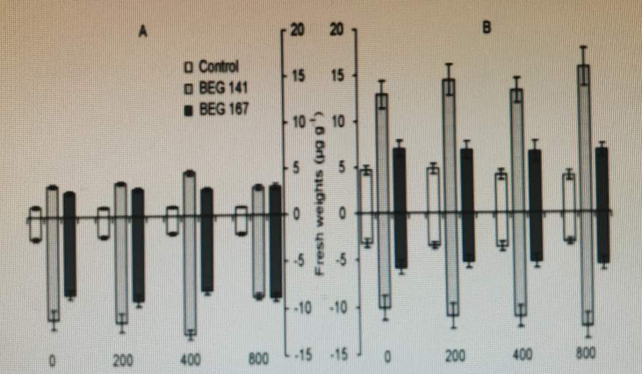
求助!!!这种柱形图是怎么做的? 已有1人参与
|
|
|
|
|
2楼2019-11-26 11:20:55
|
|
闫文娟131新虫 (初入文坛)
|
|
|
3楼2019-12-01 20:47:09
|
|














回复此楼
