| 查看: 1300 | 回复: 0 | ||
安之两隅金虫 (小有名气)
|
[求助]
origin如何对自定义方程进行拟合?
|
|
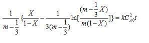
请问如何使用origin对数据进行自定义方程拟合?我按照其他人分享的步骤来操作,可是公式老编译不通过,我也有点不懂怎么对函数进行编译,大家有啥经验啊,可以分享一下吗? 需要进行拟合的方程如图片所示: 图片1.jpg |
» 猜你喜欢
275求调剂
已经有10人回复
286求调剂
已经有6人回复
083000学硕274求调剂
已经有5人回复
【求调剂】085601材料工程专硕 | 总分272 |
已经有5人回复
275求调剂
已经有13人回复
0856,材料与化工321分求调剂
已经有8人回复
085701环境工程,267求调剂
已经有12人回复
320分,材料与化工专业,求调剂
已经有7人回复
085701环境工程求调剂
已经有8人回复
295材料工程专硕求调剂
已经有5人回复














回复此楼