| ²é¿´: 386 | »Ø¸´: 0 | |||
Zhunzeгæ (³õÈëÎÄ̳)
|
[½»Á÷]
spssÖУ¬ºÍº¯Êý¹«Ê½ÈçºÎ¼Èë
|
|
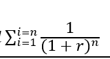
ÎÒÔÚspssÖÐ×öÕý½»·ÖÎö£¬Ä£ÐÍÀïÃæÓÐÄê½ðÏÖֵϵÊýµÄºÍº¯Êý£¬¶øÇÒÀïÃæµÄrºÍn¶¼ÊDZäÁ¿£¬Â¼ÈëµÄʱºòÕÒ²»µ½ºÍº¯Êý£¬sumºÃÏñ²»ÊʺÏÓ㬴ó¼ÒÖªµÀÔõô¼ÈëÂð£¿Çó°ïÖú ·¢×ÔСľ³æIOS¿Í»§¶Ë |
» ²ÂÄãϲ»¶
²ÄÁÏÓ뻯¹¤371Çóµ÷¼Á
ÒѾÓÐ9È˻ظ´
085600µ÷¼Á
ÒѾÓÐ9È˻ظ´
346·ÖµÄÉúÎïÓëÒ½Ò©08600Çóµ÷¼Á
ÒѾÓÐ6È˻ظ´
304Çóµ÷¼Á£¨085602£¬¹ýËļ¶£¬Ò»Ö¾Ô¸985£©
ÒѾÓÐ13È˻ظ´
328·Öµ÷¼Á
ÒѾÓÐ6È˻ظ´
Çóµ÷¼Á
ÒѾÓÐ9È˻ظ´
358Çóµ÷¼Á
ÒѾÓÐ7È˻ظ´
ÉúÎïÓëÒ½Ò©µ÷¼Á
ÒѾÓÐ3È˻ظ´
367Çóµ÷¼Á
ÒѾÓÐ3È˻ظ´
¹¤¿Æ08ר˶»úе275Çóµ÷¼Á
ÒѾÓÐ3È˻ظ´














»Ø¸´´ËÂ¥