| ²é¿´: 2946 | »Ø¸´: 3 | ||
iMitsuhaгæ (³õÈëÎÄ̳)
|
[ÇóÖú]
MatlabÇó½â·ÇÏßÐÔÆ«Î¢·Ö·½³Ì×é ÒÑÓÐ1È˲ÎÓë
|
|
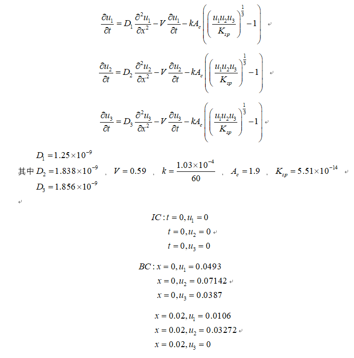
ÔÚ¿ÎÌâÑо¿Öн¨Á¢ÁËÒ»¸ö·ÇÏßÐÔÆ«Î¢·Ö·½³Ì×飬ÓÃMatlabÖÐpdepeº¯ÊýÇó½âʱ£¬ÎÞ·¨Çó³ö½á¹û£¬MatlabÒ»Ö±Õý棬ÎÒ²»ÊÇÊýѧרҵµÄ£¬Ò»Ö±ÕÒ²»³öÎÊÌ⣬¿ÒÇë¸÷λָµ¼Ò»Ï¡£Ð»Ð»£¡ ³ÌÐòÈçÏ function pdexx11 m = 0; x = linspace(0,0.02,3); t = linspace(0,1,3); sol = pdepe(m,@pdefun,@icfun,@bcfun,x,t); u1 = sol(:,:,1); u2 = sol(:,:,2); u3 = sol(:,:,3); figure; surf(x,t,u1) title('u1(x,t)') xlabel('Distance x') ylabel('Time t') figure; surf(x,t,u2) title('u2(x,t)') xlabel('Distance x') ylabel('Time t') figure; surf(x,t,u3) title('u3(x,t)') xlabel('Distance x') ylabel('Time t') function [ c,f,s ] = pdefun( x,t,u,DuDx ) c = [1;1;1]; f = [1.25e-9; 1.828e-9; 1.856e-9].*DuDx+[0.59*u(1);0.59*u(2);0.59*u(3)]; s = [-1.03e-4/60*1.9*((u(1)*u(2)*u(3)/(5.51e-14))^(1/3)-1); -1.03e-4/60*1.9*((u(1)*u(2)*u(3)/(5.51e-14))^(1/3)-1); -1.03e-4/60*1.9*((u(1)*u(2)*u(3)/(5.51e-14))^(1/3)-1)]; function u0 = icfun(x) u0 = [0;0;0]; function [ pl,ql,pr,qr ] = bcfun( xl,ul,xr,ur,t ) pl = [ul(1)-0.0493; ul(2)-0.07142; ul(3)-0.0387]; ql = [0;0;0]; pr = [ur(1)-0.0106;ur(2)-0.03272;ur(3)]; qr = [0;0;0]; |
» ²ÂÄãϲ»¶
281Çóµ÷¼Á£¨0805£©
ÒѾÓÐ16È˻ظ´
304Çóµ÷¼Á
ÒѾÓÐ6È˻ظ´
²ÄÁϹ¤³Ìר˶µ÷¼Á
ÒѾÓÐ6È˻ظ´
Ò»Ö¾Ô¸Ìì´ó²ÄÁÏÓ뻯¹¤£¨085600£©×Ü·Ö338
ÒѾÓÐ4È˻ظ´
085700×ÊÔ´Óë»·¾³308Çóµ÷¼Á
ÒѾÓÐ3È˻ظ´
Çó²ÄÁϵ÷¼Á
ÒѾÓÐ8È˻ظ´
294Çóµ÷¼Á²ÄÁÏÓ뻯¹¤×¨Ë¶
ÒѾÓÐ5È˻ظ´
Ò»Ö¾Ô¸»ªÖпƼ¼´óѧ£¬080502£¬354·ÖÇóµ÷¼Á
ÒѾÓÐ4È˻ظ´
Ò»Ö¾Ô¸¼ªÁÖ´óѧ²ÄÁÏѧ˶321Çóµ÷¼Á
ÒѾÓÐ6È˻ظ´
085410È˹¤ÖÇÄÜר˶317Çóµ÷¼Á£¨0854¶¼¿ÉÒÔ£©
ÒѾÓÐ3È˻ظ´
ysh1990
гæ (СÓÐÃûÆø)
- Ó¦Öú: 0 (Ó×¶ùÔ°)
- ½ð±Ò: 249.2
- Ìû×Ó: 123
- ÔÚÏß: 26.8Сʱ
- ³æºÅ: 1837200
- ×¢²á: 2012-05-28
- רҵ: Á÷ÌåÁ¦Ñ§
|
ÄãÏȰѸúϲ¢µÄÏîºÏ²¢ÁË£¬¸Ã»¯¼òµÄ³£Êý»¯¼òÁË£¬ÔÙÊÔÊÔ°É¡£±ÈÈçK_spÖµºÜС£¬×öÁ˳ýÊý£¬ÓÖ¿ª·½£¬ÈóÌÐòËãºÜÈÝÒ×¹Òµô£¬Äã¸Ã°ÑËüÌá³öÀ´£¬ºÍk AcºÏ²¢ÆðÀ´Ëã¡£ÔÙ±ÈÈçDµÄÁ¿¼¶ÊÇ10µÄ-9´Î·½£¬ºóÃæÏµÊýÁ¿¼¶Îª1£¬Äã¿ÉÒÔÏÈ°Ñ¿Õ¼äÆ«µ¼ÏîºöÂÔÊÔÊÔ ·¢×ÔСľ³æAndroid¿Í»§¶Ë |
2Â¥2019-03-01 20:18:56
ysh1990
гæ (СÓÐÃûÆø)
- Ó¦Öú: 0 (Ó×¶ùÔ°)
- ½ð±Ò: 249.2
- Ìû×Ó: 123
- ÔÚÏß: 26.8Сʱ
- ³æºÅ: 1837200
- ×¢²á: 2012-05-28
- רҵ: Á÷ÌåÁ¦Ñ§
|
Ŷ£¬Ã»×¢ÒâÄãµÄ³õ±ßÖµÌõ¼þ¡£ÄÇDÏî²»ÄܺöÂÔ£¬Èç¹û²»ºÃ½â¾Í°ÑDÁ¿¼¶´Ó´óÍùСµ÷һϣ¬ÏÈÅųý³ÌÐòµÄÎÊÌâ¡£ ·¢×ÔСľ³æAndroid¿Í»§¶Ë |
3Â¥2019-03-01 20:25:27
ofwhy
ÖÁ×ðľ³æ (ÖøÃûдÊÖ)
- Ó¦Öú: 3 (Ó×¶ùÔ°)
- ½ð±Ò: 13429.6
- É¢½ð: 93
- ºì»¨: 7
- Ìû×Ó: 2309
- ÔÚÏß: 177.9Сʱ
- ³æºÅ: 2777064
- ×¢²á: 2013-11-04
- ÐÔ±ð: GG
- רҵ: ¹¤³ÌÈÈÁ¦Ñ§
¡¾´ð°¸¡¿Ó¦Öú»ØÌû
|
¿ÉÄܹ«Ê½ÍƵ¼ÓдíÎó£¬Èç¹û°´ÕÕÄãµ¼³öµÄ¹«Ê½¼ÆË㣬»á¼ÆËã³öÐéÖµ£¬È»ºó²»Í£µÄËÀÑ»·¡£È罫pu3/ptµÄ×îºók*AcÇ°ÃæµÄ¸ººÅ¸ÄΪÕýºÅÔòÓн⡣´ÓÄãµÄ±ß½çÌõ¼þÀ´¿´£¬ËƺõÕâ¸ö·ÖÁ¿Ò²Ó¦¸Ã¸úÆäËûÁ½¸öÓ¦¸ÃÊDz»Ò»ÑùµÄ¡£ function [ output_args ] = PDEs1( input_args ) m=0; x=linspace(0,0.02,3); t=linspace(0,1,3); sol=pdepe(m,@pdes1pde,@pdes1ic,@pdes1bc,x,t); u1=sol(:,:,1); u2=sol(:,:,2); u3=sol(:,:,3); figure surf(x,t,u1) title('u1(x,t)') xlabel('Distance x') ylabel('Time t') figure surf(x,t,u2) title('u2(x,t)') xlabel('Distance x') ylabel('Time t') figure surf(x,t,u3) title('u3(x,t)') xlabel('Distance x') ylabel('Time t') function[c,f,s]=pdes1pde(x,t,u,DuDx) c=[1;1;1]; D1=1.25*10^(-9); D2=1.838*10^(-9); D3=1.856*10^(-9); V=0.59; k=1.03*10^(-4)/60; Ac=1.9; Ksp=5.51*10^(-14); f=[D1/(1+V);D2/(1+V);D3/(1+V)].*DuDx; s=[-k*Ac/(1+V)*((u(1)*u(2)*u(3)/Ksp)^(1/3)-1);-k*Ac/(1+V)*((u(1)*u(2)*u(3)/Ksp)^(1/3)-1);k*Ac/(1+V)*((u(1)*u(2)*u(3)/Ksp)^(1/3)-1);]; end function u0 = pdes1ic(x) u0 = [0;0;0]; end function [pl,ql,pr,qr] = pdes1bc(xl,ul,xr,ur,t) pl = [ul(1)-0.0493; ul(2)-0.07142;ul(3)-0.0387]; ql = [0;0;0]; pr = [ur(1)-0.0106;ur(2)-0.03272;ur(3)]; qr = [0;0;0]; end end |
4Â¥2019-03-31 12:08:01













»Ø¸´´ËÂ¥