±±¾©Ê¯ÓÍ»¯¹¤Ñ§Ôº2026ÄêÑо¿ÉúÕÐÉú½ÓÊÕµ÷¼Á¹«¸æ
²é¿´: 5668  |  »Ø¸´: 11

°ÙÀïÍÀÍÀÍÀËÕ

гæ (ÕýʽдÊÖ)


ÒÑÁìÍê
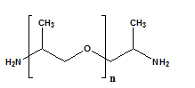
ÈçºÎÓÃChem3D»­¸ß¾ÛÎïµÄ·Ö×Ó(´ønµÄ)
ÁìÈ¡ºì°ü (Сľ³æÊÖ»úappרÊôºì°ü)

ɨһɨ£¬ÏÂÔØÐ¡Ä¾³æ¿Í»§¶Ë

·Ö×Óʽ´øn¼´±íʾ¾ÛºÏÎÄÇôÔÚChen3dÖÐÔõô±íÏÖ³öÀ´ÄØ£¬¸Ð¾õ×Ô¼ºÔÚChem3d Öл­µÄ²»¶Ô£¬ÆäËû´óÉñÖ¸µ¼£¬»òÕßÊÇ·ñÓÐÆäËû¿ÉÒÔ»­Á¢Ìå·Ö×ÓʽµÄÈí¼þ

ÈçºÎÓÃChem3D»­¸ß¾ÛÎïµÄ·Ö×Ó(´ønµÄ)


ÈçºÎÓÃChem3D»­¸ß¾ÛÎïµÄ·Ö×Ó(´ønµÄ)-1


·¢×ÔСľ³æIOS¿Í»§¶Ë
»Ø¸´´ËÂ¥

» ²ÂÄãϲ»¶

» ±¾Ö÷ÌâÏà¹ØÉ̼ÒÍÆ¼ö: (ÎÒÒ²ÒªÔÚÕâÀïÍÆ¹ã)

» ÇÀ½ð±ÒÀ²£¡»ØÌû¾Í¿ÉÒԵõ½:

²é¿´È«²¿É¢½ðÌù

ÒÑÔÄ   »Ø¸´´ËÂ¥   ¹Ø×¢TA ¸øTA·¢ÏûÏ¢ ËÍTAºì»¨ TAµÄ»ØÌû

DNAND

гæ (СÓÐÃûÆø)


7Â¥2018-06-09 17:43:57
ÒÑÔÄ   »Ø¸´´ËÂ¥   ¹Ø×¢TA ¸øTA·¢ÏûÏ¢ ËÍTAºì»¨ TAµÄ»ØÌû

bangwandeyun

Ìú³æ (ÖøÃûдÊÖ)


8Â¥2018-06-09 17:44:08
ÒÑÔÄ   »Ø¸´´ËÂ¥   ¹Ø×¢TA ¸øTA·¢ÏûÏ¢ ËÍTAºì»¨ TAµÄ»ØÌû

°ÙÀïÍÀÍÀÍÀËÕ

гæ (ÕýʽдÊÖ)


ÒýÓûØÌû:
8Â¥: Originally posted by bangwandeyun at 2018-06-09 17:44:08
GaussianView

ÄãºÃ¿ÉÒÔ»­Á¢ÌåµÄ¸ß·Ö×Ó¾ÛºÏÎïÂï

·¢×ÔСľ³æIOS¿Í»§¶Ë
9Â¥2018-06-09 17:50:54
ÒÑÔÄ   »Ø¸´´ËÂ¥   ¹Ø×¢TA ¸øTA·¢ÏûÏ¢ ËÍTAºì»¨ TAµÄ»ØÌû

ltl_1988

ÖÁ×ðľ³æ (ÖøÃûдÊÖ)


¡ï
Сľ³æ: ½ð±Ò+0.5, ¸ø¸öºì°ü£¬Ð»Ð»»ØÌû
chemdraw¿ÉÒÔ»­£¬ÓÐÄ£°å¡£Ò²ÊÇͬһÌ×¼þÀïµÄ

·¢×ÔСľ³æAndroid¿Í»§¶Ë
10Â¥2018-06-09 23:49:00
ÒÑÔÄ   »Ø¸´´ËÂ¥   ¹Ø×¢TA ¸øTA·¢ÏûÏ¢ ËÍTAºì»¨ TAµÄ»ØÌû

°ÙÀïÍÀÍÀÍÀËÕ

гæ (ÕýʽдÊÖ)


ÒýÓûØÌû:
10Â¥: Originally posted by ltl_1988 at 2018-06-09 23:49:00
chemdraw¿ÉÒÔ»­£¬ÓÐÄ£°å¡£Ò²ÊÇͬһÌ×¼þÀïµÄ

ÄãºÃ£¬Äã¿´ÎÒÏÖÔÚ»­µÄÄǸöÊDz»ÊÇÃ÷ÏÔ²»¶ÔÄØ£¬Ä£°åÔÚÄÄÀ¿ÉÒÔÔÙÇå³þµÄ˵һÏÂÂï

·¢×ÔСľ³æIOS¿Í»§¶Ë
11Â¥2018-06-10 08:30:51
ÒÑÔÄ   »Ø¸´´ËÂ¥   ¹Ø×¢TA ¸øTA·¢ÏûÏ¢ ËÍTAºì»¨ TAµÄ»ØÌû

º«Ð¡±óͲѧ

½û³æ (³õÈëÎÄ̳)

¡ï
Сľ³æ: ½ð±Ò+0.5, ¸ø¸öºì°ü£¬Ð»Ð»»ØÌû
±¾ÌûÄÚÈݱ»ÆÁ±Î

12Â¥2018-08-16 23:45:34
ÒÑÔÄ   »Ø¸´´ËÂ¥   ¹Ø×¢TA ¸øTA·¢ÏûÏ¢ ËÍTAºì»¨ TAµÄ»ØÌû
¼òµ¥»Ø¸´
sj_chan2Â¥
2018-06-09 17:40   »Ø¸´  
°ÙÀïÍÀÍÀÍÀËÕ(½ð±Ò+1): лл²ÎÓë
ÒÑ»ñµÃ1¸ö½ð±Ò ·¢×ÔСľ³æAndroid¿Í»§¶Ë
pandongzi3Â¥
2018-06-09 17:40   »Ø¸´  
°ÙÀïÍÀÍÀÍÀËÕ(½ð±Ò+1): лл²ÎÓë
ÒÑ»ñµÃ1¸ö½ð±Ò ·¢×ÔСľ³æIOS¿Í»§¶Ë
jixiangbao4Â¥
2018-06-09 17:41   »Ø¸´  
°ÙÀïÍÀÍÀÍÀËÕ(½ð±Ò+1): лл²ÎÓë
ÒÑ»ñµÃ1¸ö½ð±Ò ·¢×ÔСľ³æIOS¿Í»§¶Ë
2018-06-09 17:41   »Ø¸´  
°ÙÀïÍÀÍÀÍÀËÕ(½ð±Ò+1): лл²ÎÓë
ÒÑ»ñµÃ1¸ö½ð±Ò ·¢×ÔСľ³æAndroid¿Í»§¶Ë
TsingJoe6Â¥
2018-06-09 17:41   »Ø¸´  
°ÙÀïÍÀÍÀÍÀËÕ(½ð±Ò+1): лл²ÎÓë
ÒÑ»ñµÃ1¸ö½ð±Ò ·¢×ÔСľ³æIOS¿Í»§¶Ë
Ïà¹Ø°æ¿éÌø×ª ÎÒÒª¶©ÔÄÂ¥Ö÷ °ÙÀïÍÀÍÀÍÀËÕ µÄÖ÷Ìâ¸üÐÂ
×î¾ßÈËÆøÈÈÌûÍÆ¼ö [²é¿´È«²¿] ×÷Õß »Ø/¿´ ×îºó·¢±í
[¿¼ÑÐ] 081700»¯Ñ§¹¤³ÌÓë¼¼Êõ Ò»Ö¾Ô¸Öк£Ñó 323 Çóµ÷¼ÁѧУ +11 ÅûÐÇºÓ 2026-04-03 11/550 2026-04-04 08:30 by leqianduo
[¿¼ÑÐ] Çóµ÷¼Á£¬Ò»Ö¾Ô¸±±¾©ÖÐÒ½Ò©´óѧ +3 СС´ï²»Áï 2026-04-02 3/150 2026-04-03 22:55 by ³åʸêÄÐÇÍÅ
[¿¼ÑÐ] 327Çóµ÷¼Á +9 С¿¨²»¿¨. 2026-03-29 9/450 2026-04-03 19:48 by °ÙÁéͯ888
[¿¼ÑÐ] 266Çóµ÷¼Á +18 ÑôÑôÍÛÈû 2026-04-01 18/900 2026-04-03 18:38 by zllcz
[¿¼ÑÐ] 315Çóµ÷¼Á +12 СÑòСÑò_ 2026-04-02 12/600 2026-04-03 18:22 by lsÁõ˧
[¿¼ÑÐ] 326·ÖÇóµ÷¼Á +3 ÓÚÊǺõÄØ 2026-04-01 5/250 2026-04-03 14:23 by ÓÚÊǺõÄØ
[¿¼ÑÐ] µ÷¼ÁÇóÖú +8 Ïë»»ÊÖ»ú²»Ïë½âÊ 2026-04-02 11/550 2026-04-03 14:16 by ÐÇ¿ÕÐÇÔÂ
[¿¼ÑÐ] ÍÁľˮÀû328·ÖÇóµ÷¼Á +6 ¼²·çÖª¾¢²Ý666 2026-04-02 6/300 2026-04-03 11:38 by znian
[¿¼ÑÐ] 303Çóµ÷¼Á +3 һɫÇåÓð 2026-04-02 4/200 2026-04-03 10:22 by À¶ÔÆË¼Óê
[¿¼ÑÐ] 279Çóµ÷¼Á +6 qazplm0852 2026-04-02 6/300 2026-04-03 10:03 by À¶ÔÆË¼Óê
[¿¼ÑÐ] 294Çóµ÷¼Á +3 Grey_Ey 2026-04-02 5/250 2026-04-02 21:34 by swb0218
[¿¼ÑÐ] 296Çóµ÷¼Á +4 sdhu 2026-04-02 4/200 2026-04-02 21:29 by baoball
[¿¼ÑÐ] ũѧ¿¼ÑÐÇóµ÷¼Á +3 dkdkxm 2026-04-01 3/150 2026-04-02 16:04 by wangjagri
[¿¼ÑÐ] Ò»Ö¾Ô¸Ö£´ó²ÄÁϹ¤³Ì290Çóµ÷¼Á +20 Youth_ 2026-03-30 20/1000 2026-04-02 14:48 by 5896
[¿¼ÑÐ] ²ÄÁÏרҵÇóµ÷¼Á +10 ÔÂÔÂÄñľ 2026-04-01 10/500 2026-04-02 12:57 by wxiongid
[¿¼ÑÐ] 377Çóµ÷¼Á +3 RASKIN 2026-04-02 3/150 2026-04-02 09:45 by zzchen2000
[¿¼ÑÐ] 379Çóµ÷¼Á +3 ?¿à¹Ï²»¿à 2026-04-01 3/150 2026-04-01 20:09 by ÄºÔÆÇ庮
[¿¼ÑÐ] µ÷¼ÁÉêÇë +8 ÕÅÕÅÕÅÕÅzy 2026-03-31 9/450 2026-04-01 08:29 by zjbkx
[¿¼ÑÐ] Ò»Ö¾Ô¸Î÷½»´ó080500²ÄÁÏѧ˶349 +6 jqx1258 2026-03-31 7/350 2026-03-31 21:08 by yuq
[¿¼ÑÐ] һ־Ը˫һÁ÷»úе285·ÖÇóµ÷¼Á +4 ÐÒÔ˵ÄÈýľ 2026-03-29 5/250 2026-03-29 14:49 by Miko19
ÐÅÏ¢Ìáʾ
ÇëÌî´¦ÀíÒâ¼û