| ²é¿´: 1417 | »Ø¸´: 10 | |||
macui002гæ (СÓÐÃûÆø)
|
[ÇóÖú]
ÐÞ¸ÄÒâ¼û¹ØÓÚͼµÄÐÞ¸ÄÇóÖú ÒÑÓÐ1È˲ÎÓë
|
||
|
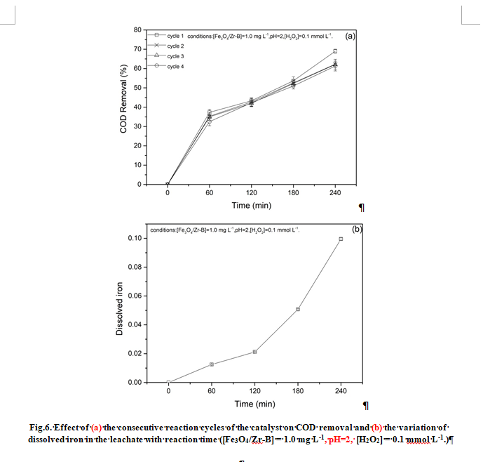
ÕâÆªÂÛÎÄ£¬µÚÒ»´Î¸øÁË´óÐÞ£¬µÚ¶þ´Î¸øÁËСÐÞ£¬µÚÈý´Î»¹ÊÇСÐÞ£¬Ö÷ÒªÊÇͼºÍÊý¾ÝµÄÎÊÌ⣬ÎÒ×öÁËÐ޸ģ¬¿É±à¼ÒÀȻ˵²»ÐУ¬¿ÉÄÜÎÒûÓÐÀí½âËûµÄÒâ˼£¬¸÷λ´óÉñÄܲ»ÄܰïÎÒ¿´¿´£¬±à¼µÄÒâ˼£¬ statistical labels to the dataÊÇʲôÒâ˼£¬add lettering or other symbols to the data itselfÊÇʲôÑù×ӵģ¿ÎÒ°ÑÎÒµÄͼƬ¸½ÉÏ£¬Çë´ó¼Ò°ïæ¿´¿´£¬Íò·Ö¸Ðл£¡£¡£¡ µÚÈý´Î£ºThank you for the revision of your paper, but there remains the issue of having statistical labels on the data itself within each figure. Perhaps you have not understood my request. For example, in Figure 3 are all the values at different pH treatments different from each other? Please add some lettering or other symbols to show the differences in the histograms in Figs 3, 5 and 6. µÚËĴΣºYou still have not added statistical labels to the data on the figures 5, 6 and 3. Is there a problem here such that you did not have enough replicates to do the statistics? Or are you misunderstanding my request? I am asking you to add lettering or other symbols to the data itself to show the reader the treatment, time and concentration effects. This is your last opportunity to make these changes. Figure3.png Figure5.png Figure6.png@Monash2011 |
» ²ÂÄãϲ»¶
ÇóÎÄÏ×
ÒѾÓÐ3È˻ظ´
277¹¤¿ÆÇóµ÷¼Á
ÒѾÓÐ7È˻ظ´
µ÷¼Á
ÒѾÓÐ3È˻ظ´
301Çóµ÷¼Á
ÒѾÓÐ3È˻ظ´
0703Çóµ÷¼Á383·Ö
ÒѾÓÐ6È˻ظ´
Ó¢Ò»Êý¶þÉúÎïÐÅϢѧ287·Ö£¬±¾¿ÆÉúÎï¿ÆÑ§£¬Çóµ÷¼Á
ÒѾÓÐ7È˻ظ´
¿¼Ñе÷¼Á
ÒѾÓÐ5È˻ظ´
081700£¬311£¬Çóµ÷¼Á
ÒѾÓÐ5È˻ظ´
0703»¯Ñ§
ÒѾÓÐ7È˻ظ´
363Çóµ÷¼Á
ÒѾÓÐ7È˻ظ´
luxiaofei919
гæ (СÓÐÃûÆø)
- Ó¦Öú: 0 (Ó×¶ùÔ°)
- ½ð±Ò: 179.7
- ºì»¨: 1
- Ìû×Ó: 75
- ÔÚÏß: 49.7Сʱ
- ³æºÅ: 1392843
- ×¢²á: 2011-09-06
- ÐÔ±ð: MM
- רҵ: »·¾³ÎÛȾ»¯Ñ§
¡ï ¡ï ¡ï
paperhunter: ½ð±Ò+3, ¹ÄÀø½»Á÷ 2018-06-20 09:50:49
paperhunter: ½ð±Ò+3, ¹ÄÀø½»Á÷ 2018-06-20 09:50:49
|
ÎÒÊÇÕâôÀí½âµÄ¹þ£¬¾ÍÊÇ˵ÄãÖ»ÔÚÿ¸öÊý¾Ý±¾Éí±È½ÏÁËËû×Ô¼ºµÄÖØ¸´ÐÔ²îÒ죬Ҳ¾ÍÊÇÄãµÄÎó²î°ô£¬¶øÃ¿ÕÅͼÉϸ÷¸ö½á¹ûÖ®¼äÊÇ·ñ²îÒìÏÔÖøÄãûÓбê³ö¡£Ò»°ã²»ÓÃ×Öĸ´ú±í²îÒìÐÔÏÔÖø£¬Ïàͬ×Öĸ´ú±í²îÒì²»ÏÔÖø¡£Ëµ°×ÁË£¬¾ÍÊÇÈÃÄãÔÚÖù×ÓÉÏ·½»òµãÉÏ·½³¬³öa,b,c,dÀ´ÏÔʾÊý¾Ý²îÒìÊÇ·ñÏÔÖø£¡²»ÖªµÀÎÒ˵µÄÄãÊÇ·ñÄÜÀí½â£¿ÄãÔںúöÁһϱà¼ËµµÄ£¬ÏëÒ»ÏÂÊDz»ÊÇÎÒ˵µÄÕâ¸öÒâ˼£¿µ½Õâ²½ÁË£¬Ç§Íò±ð³ö²î´í£¬×£ºÃÔË£¡ ·¢×ÔСľ³æIOS¿Í»§¶Ë |
10Â¥2018-06-04 17:17:15
tangbicheng
гæ (ÕýʽдÊÖ)
- Ó¦Öú: 0 (Ó×¶ùÔ°)
- ½ð±Ò: 1684.1
- É¢½ð: 240
- ºì»¨: 2
- Ìû×Ó: 989
- ÔÚÏß: 66.9Сʱ
- ³æºÅ: 4990918
- ×¢²á: 2016-09-07
- רҵ: °ëµ¼Ìå²ÄÁÏ
2Â¥2018-06-03 18:09:30
tangbicheng
гæ (ÕýʽдÊÖ)
- Ó¦Öú: 0 (Ó×¶ùÔ°)
- ½ð±Ò: 1684.1
- É¢½ð: 240
- ºì»¨: 2
- Ìû×Ó: 989
- ÔÚÏß: 66.9Сʱ
- ³æºÅ: 4990918
- ×¢²á: 2016-09-07
- רҵ: °ëµ¼Ìå²ÄÁÏ
¡ï
macui002(liouzhan654´ú·¢): ½ð±Ò+1, ¸Ðл½»Á÷ 2018-06-03 19:01:01
macui002(liouzhan654´ú·¢): ½ð±Ò+1, ¸Ðл½»Á÷ 2018-06-03 19:01:01
|
ÄãµÄÄǸöÖù״ͼ±È½Ï¶à£¬Ã¿¸öµã´¦µÄÌõ¼þ¶¼ÊÇÒª±êÇå³þµÄ£¬½¨ÒéÄã¶àÕÒ¼¸¸ö²©Ê¿»òÕßÎÊÎʼ¸Î»ÀÏʦ£¬¸Ð¾õÄãûÀí½âÄǸödifferenceµÄÕæÕýÒâ˼£¬×£ºÃÔË ·¢×ÔСľ³æIOS¿Í»§¶Ë |
3Â¥2018-06-03 18:15:56
paperhunter
ÈÙÓþ°æÖ÷ (ÎÄѧ̩¶·)
»¹Ã»ÏëºÃ
-

ר¼Ò¾Ñé: +14 - SEPI: 1
- Ó¦Öú: 14603 (½ÌÊÚ)
- ¹ó±ö: 11.659
- ½ð±Ò: 345467
- É¢½ð: 9262
- ºì»¨: 1423
- ɳ·¢: 2016
- Ìû×Ó: 127554
- ÔÚÏß: 8880.4Сʱ
- ³æºÅ: 971012
- ×¢²á: 2010-03-14
- רҵ: »·¾³¹¤³Ì
- ¹ÜϽ: ÂÛÎÄͶ¸å

4Â¥2018-06-03 18:20:01
macui002
гæ (СÓÐÃûÆø)
- Ó¦Öú: 0 (Ó×¶ùÔ°)
- ½ð±Ò: 321.1
- ºì»¨: 1
- Ìû×Ó: 203
- ÔÚÏß: 70Сʱ
- ³æºÅ: 3324727
- ×¢²á: 2014-07-15
- ÐÔ±ð: MM
- רҵ: »·¾³ÎÛȾ»¯Ñ§
5Â¥2018-06-03 18:33:31
ѧÊõº£Ñó¹·ÅÙ
гæ (Ö°Òµ×÷¼Ò)
- Ó¦Öú: 4 (Ó×¶ùÔ°)
- ½ð±Ò: 3891.3
- É¢½ð: 283
- ºì»¨: 2
- ɳ·¢: 1
- Ìû×Ó: 3442
- ÔÚÏß: 41.9Сʱ
- ³æºÅ: 8192711
- ×¢²á: 2018-03-07
- ÐÔ±ð: GG
- רҵ: ¹¤³Ì¹ÜÀí
6Â¥2018-06-03 18:46:02
paperhunter
ÈÙÓþ°æÖ÷ (ÎÄѧ̩¶·)
»¹Ã»ÏëºÃ
-

ר¼Ò¾Ñé: +14 - SEPI: 1
- Ó¦Öú: 14603 (½ÌÊÚ)
- ¹ó±ö: 11.659
- ½ð±Ò: 345467
- É¢½ð: 9262
- ºì»¨: 1423
- ɳ·¢: 2016
- Ìû×Ó: 127554
- ÔÚÏß: 8880.4Сʱ
- ³æºÅ: 971012
- ×¢²á: 2010-03-14
- רҵ: »·¾³¹¤³Ì
- ¹ÜϽ: ÂÛÎÄͶ¸å

7Â¥2018-06-03 21:31:59
macui002
гæ (СÓÐÃûÆø)
- Ó¦Öú: 0 (Ó×¶ùÔ°)
- ½ð±Ò: 321.1
- ºì»¨: 1
- Ìû×Ó: 203
- ÔÚÏß: 70Сʱ
- ³æºÅ: 3324727
- ×¢²á: 2014-07-15
- ÐÔ±ð: MM
- רҵ: »·¾³ÎÛȾ»¯Ñ§
|
I am asking you to add lettering or other symbols to the data itself to show the reader the treatment, time and concentration effects. µ«ÊÇÕâ¾ä»°ÔõôÀí½â£¿ÎÒ¿´ÁËÕâ¸öÔÓÖ¾µÄһЩÎÄÕ£¬Àï±ßÔÚerror barÉϱê×ÖĸµÄ£¬µ«ÊÇʲôÒâ˼£¬ÎÒ¿´µ×ÏÂ×¢ÊÍÒ²²»Ì«Ã÷°×£¬´óÏÀÄÜ·ñ¼ÓÏÂÎÒQQ£¬799145595£¬ÏêϸÏòÄúÇë½ÌÏ£¬ÕæµÄÊÇ׿±£¬ÎÊÁËÎÒÃÇÀÏʦ£¬ËûÒ²²»¶® |
8Â¥2018-06-03 21:48:25
macui002
гæ (СÓÐÃûÆø)
- Ó¦Öú: 0 (Ó×¶ùÔ°)
- ½ð±Ò: 321.1
- ºì»¨: 1
- Ìû×Ó: 203
- ÔÚÏß: 70Сʱ
- ³æºÅ: 3324727
- ×¢²á: 2014-07-15
- ÐÔ±ð: MM
- רҵ: »·¾³ÎÛȾ»¯Ñ§
9Â¥2018-06-04 15:31:42














»Ø¸´´ËÂ¥
