| ²é¿´: 498 | »Ø¸´: 1 | ||
| ¡¾ÐüÉͽð±Ò¡¿»Ø´ð±¾ÌûÎÊÌ⣬×÷Õßzhailichao½«ÔùËÍÄú 50 ¸ö½ð±Ò | ||
zhailichaoľ³æ (ÖøÃûдÊÖ)
|
[ÇóÖú]
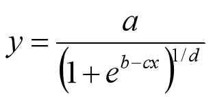
¹ØÓÚRichard·½³ÌµÄÇóµ¼
|
|
|
ÇëÎʸ÷λ³æÓÑ£¬Õâ¸öº¯ÊýµÄµ¼ÊýÊÇʲô£¿Ð»Ð» ·¢×ÔСľ³æAndroid¿Í»§¶Ë |
» ²ÂÄãϲ»¶
ÉúÎïѧѧ˶Çóµ÷¼Á£º351·ÖÒ»Ö¾Ô¸ÄϾ©Ê¦·¶´óѧÉúÎïѧרҵ
ÒѾÓÐ5È˻ظ´
Çóµ÷¼Á£¬Ò»Ö¾Ô¸ÏÃÃÅ´óѧ£¬ÉúÎïÓëÒ½Ò©£¬×Ü·Ö272£¬±¾¿Æ211
ÒѾÓÐ5È˻ظ´
µ÷¼Á
ÒѾÓÐ9È˻ظ´
070300»¯Ñ§Ñ§Ë¶311·ÖÇóµ÷¼Á
ÒѾÓÐ11È˻ظ´
Ò»Ö¾Ô¸±±½»´ó²ÄÁϹ¤³Ì×Ü·Ö358Çóµ÷¼Á
ÒѾÓÐ7È˻ظ´
308Çóµ÷¼Á
ÒѾÓÐ12È˻ظ´
0703»¯Ñ§
ÒѾÓÐ18È˻ظ´
ÉúÎïѧ308·ÖÇóµ÷¼Á£¨Ò»Ö¾Ô¸»ª¶«Ê¦´ó£©
ÒѾÓÐ5È˻ظ´
292Çóµ÷¼Á
ÒѾÓÐ4È˻ظ´
286Çóµ÷¼Á
ÒѾÓÐ10È˻ظ´
zhailichao
ľ³æ (ÖøÃûдÊÖ)
- Ó¦Öú: 1 (Ó×¶ùÔ°)
- ½ð±Ò: 3521.4
- É¢½ð: 743
- ºì»¨: 17
- Ìû×Ó: 1322
- ÔÚÏß: 470.9Сʱ
- ³æºÅ: 2888344
- ×¢²á: 2013-12-22
- ÐÔ±ð: GG
- רҵ: µØÀíÐÅϢϵͳ
2Â¥2017-12-28 13:20:37














»Ø¸´´ËÂ¥