| ²é¿´: 8092 | »Ø¸´: 6 | ||
GJ22гæ (³õÈëÎÄ̳)
|
[ÇóÖú]
ÐÂÈËÇóÖú£¬¹ØÓÚ¼«»¯ÇúÏߵļòµ¥ÎÊÌâ ÒÑÓÐ2È˲ÎÓë
|
|
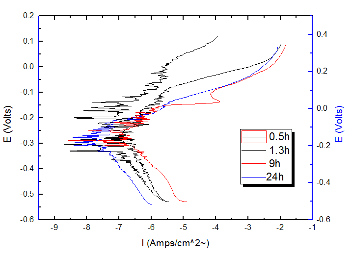
Èçͼ£¬¼«»¯ÇúÏß²¨¶¯Ê®·ÖÑÏÖØ¡£ËÄÖÖ²»Í¬Ìõ¼þÈÈ´¦ÀíµÄ°åÁϲâ³öµÄÇúÏß¾ù²¨¶¯ÑÏÖØ¡£ÏëÖªµÀΪʲô»á³öÏÖÕâÖÖÇé¿ö¡£Çó´óÉñÖ¸µ¼£¬¸Ðл£¡ )[CSNU)6}~0RGY})[Q9$[G6.png |
» ²ÂÄãϲ»¶
ÄÏ´ó»¯Ñ§µ÷¼Á
ÒѾÓÐ11È˻ظ´
ÁòËáÄÆÈÜҺŨ¶ÈÓëÃܶÈÇúÏß
ÒѾÓÐ0È˻ظ´
ÎïÀí»¯Ñ§ÂÛÎÄÈóÉ«/·ÒëÔõôÊÕ·Ñ?
ÒѾÓÐ255È˻ظ´
0703µ÷¼Á
ÒѾÓÐ4È˻ظ´
1
ÒѾÓÐ21È˻ظ´
0703 µ÷¼Á
ÒѾÓÐ6È˻ظ´
ÕÐÊÕ
ÒѾÓÐ0È˻ظ´
Î÷ÄÏij211ÕÐ27½ì²©Ê¿
ÒѾÓÐ32È˻ظ´
´óÁ¬¹¤Òµ½ÜÇà/³¤½ÍŶÓ-ÉúÎïÖʲÄÁÏ-´¢ÄÜµç³Ø·½ÏòÕÐÊÕ2026¼¶²©Ê¿Éú
ÒѾÓÐ0È˻ظ´
Çóµ÷¼ÁÒ»Ö¾Ô¸º£´ó£¬0703»¯Ñ§Ñ§Ë¶304·Ö£¬Óдó´´ÏîÄ¿£¬Ëļ¶Òѹý
ÒѾÓÐ10È˻ظ´
Gamry-µç»¯Ñ§
½ð³æ (Ö°Òµ×÷¼Ò)
- ECEPI: 3
- Ó¦Öú: 651 (²©Ê¿)
- ½ð±Ò: 1111.1
- É¢½ð: 1293
- ºì»¨: 1275
- Ìû×Ó: 3688
- ÔÚÏß: 506.2Сʱ
- ³æºÅ: 3437295
- ×¢²á: 2014-09-24
- רҵ: µç»¯Ñ§
¡¾´ð°¸¡¿Ó¦Öú»ØÌû
¡ï
¸Ðл²ÎÓ룬ӦÖúÖ¸Êý +1
louderbe: ½ð±Ò+1 2017-12-27 09:44:19
¸Ðл²ÎÓ룬ӦÖúÖ¸Êý +1
louderbe: ½ð±Ò+1 2017-12-27 09:44:19
| ÑùÆ·Ãæ»ýÊǶà´ó£¿ Èç¹ûÊÇ1cm2, ÄÇôµçÁ÷µÄ²âÁ¿µ½´ï10 nA ÊýÁ¿¼¶£¬ ÊÜ»·¾³ºÍÒÇÆ÷µÈ¸÷¸ö½Ç¶ÈÓ°Ïì¡£Õâô´óµÄ¸ÉÈÅ»òÕßÊý¾ÝµÄ²¨¶¯£¬·ÖÎö¼«»¯ÇúÏß»áÓкܴóÎó²î¡£ |
2Â¥2017-12-16 02:40:02
TJaida
ľ³æ (ÕýʽдÊÖ)
- ECEPI: 1
- Ó¦Öú: 190 (¸ßÖÐÉú)
- ½ð±Ò: 1916.1
- ºì»¨: 35
- Ìû×Ó: 423
- ÔÚÏß: 329.6Сʱ
- ³æºÅ: 5268496
- ×¢²á: 2016-11-22
- רҵ: µç»¯Ñ§·ÖÎö

3Â¥2017-12-16 11:45:22
cuiran123
½ð³æ (ÕýʽдÊÖ)
- Ó¦Öú: 7 (Ó×¶ùÔ°)
- ½ð±Ò: 562.6
- É¢½ð: 147
- ºì»¨: 8
- Ìû×Ó: 316
- ÔÚÏß: 257.4Сʱ
- ³æºÅ: 3706041
- ×¢²á: 2015-03-03
- ÐÔ±ð: MM
- רҵ: ½ðÊô²ÄÁÏ
4Â¥2017-12-26 22:25:28
GJ22
гæ (³õÈëÎÄ̳)
- Ó¦Öú: 0 (Ó×¶ùÔ°)
- ½ð±Ò: 7.5
- Ìû×Ó: 4
- ÔÚÏß: 21·ÖÖÓ
- ³æºÅ: 7609257
- ×¢²á: 2017-12-12
- רҵ: ½ðÊô²ÄÁϵÄÄ¥ËðÓëĥʴ
5Â¥2018-01-02 11:32:03
GJ22
гæ (³õÈëÎÄ̳)
- Ó¦Öú: 0 (Ó×¶ùÔ°)
- ½ð±Ò: 7.5
- Ìû×Ó: 4
- ÔÚÏß: 21·ÖÖÓ
- ³æºÅ: 7609257
- ×¢²á: 2017-12-12
- רҵ: ½ðÊô²ÄÁϵÄÄ¥ËðÓëĥʴ
6Â¥2018-01-02 14:32:50
GJ22
гæ (³õÈëÎÄ̳)
- Ó¦Öú: 0 (Ó×¶ùÔ°)
- ½ð±Ò: 7.5
- Ìû×Ó: 4
- ÔÚÏß: 21·ÖÖÓ
- ³æºÅ: 7609257
- ×¢²á: 2017-12-12
- רҵ: ½ðÊô²ÄÁϵÄÄ¥ËðÓëĥʴ
7Â¥2018-01-02 14:34:04













»Ø¸´´ËÂ¥