| 查看: 3254 | 回复: 1 | ||
[求助]
求助MATLAB大神
|
|
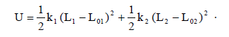
L1的取值范围在-10到10,出L1关于U的 函数图像 1`B]MM$)K7ZE9YA]{KM2($M.png (Y]HETUO7HQ]O@{_DJ~PWXE.png ]7@R9{6XYH5E4U)U(FE3]CJ.png |
» 猜你喜欢
动态热机械分析仪(DMA)测阻尼应变谱
已经有2人回复
稀土掺杂光致发光材料中的晶体场强与发射波长的关系
已经有7人回复
工程热物理与能源利用论文润色/翻译怎么收费?
已经有203人回复
激发光谱分析
已经有5人回复
投稿问题
已经有2人回复
招收2026年秋季入学博士生1名(北京科技大学 力学超材料/机器学习/增材制造相关方向)
已经有21人回复
2楼2018-05-18 12:00:04














回复此楼