| 查看: 2043 | 回复: 4 | ||
嘀嗒猫新虫 (正式写手)
|
[求助]
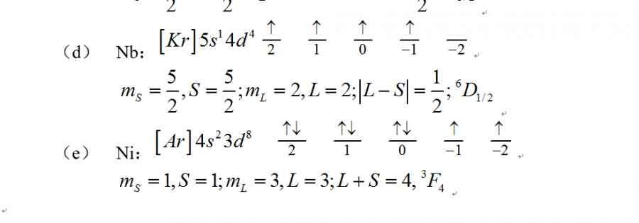
求能量最低的光谱项与光谱支项
|
|
为什么Nb是 |L-S|, Ni是 L+S ,写出光谱项,如何确定哪个是能量最低的 发自小木虫Android客户端 |
» 猜你喜欢
二苯甲酮亚胺的合成
已经有1人回复
聚左旋乳酸的作用与机制:从胶原再生到组织修复
已经有0人回复
有机高分子材料论文润色/翻译怎么收费?
已经有226人回复
可生物降解聚酯聚己内酯的性能分析与发展趋势
已经有0人回复
带膜支架的膜和支架之间的结合力如何测试
已经有2人回复
西交利物浦大学奖学金博士招生(生物传感或机器学习方向)
已经有1人回复
南方科技大学招收金属材料方向博士生
已经有23人回复
可降解聚酯材料在医疗器械中的应用趋势与创新方向
已经有0人回复
可降解微球如何提升药物精准治疗效果
已经有0人回复
静电纺丝膜分层问题
已经有0人回复
什么脱膜剂可以完全清洗干净啊?
已经有2人回复
2楼2017-12-12 10:40:18
嘀嗒猫
新虫 (正式写手)
- 应助: 0 (幼儿园)
- 金币: 2008.7
- 散金: 15
- 帖子: 467
- 在线: 57.1小时
- 虫号: 6078678
- 注册: 2017-03-21
- 性别: GG
- 专业: 化学工程及工业化学
3楼2017-12-12 10:52:05
嘀嗒猫
新虫 (正式写手)
- 应助: 0 (幼儿园)
- 金币: 2008.7
- 散金: 15
- 帖子: 467
- 在线: 57.1小时
- 虫号: 6078678
- 注册: 2017-03-21
- 性别: GG
- 专业: 化学工程及工业化学
4楼2017-12-12 10:53:16
嘀嗒猫
新虫 (正式写手)
- 应助: 0 (幼儿园)
- 金币: 2008.7
- 散金: 15
- 帖子: 467
- 在线: 57.1小时
- 虫号: 6078678
- 注册: 2017-03-21
- 性别: GG
- 专业: 化学工程及工业化学
5楼2017-12-12 10:54:32













回复此楼