| ²é¿´: 1961 | »Ø¸´: 2 | ||||
½úÅô°æÖ÷ (ÖªÃû×÷¼Ò)
|
[½»Á÷]
[ÓÅÐãÎÄÕÂÍÆ¼ö]ÖпÆÔº½ÒʾÌð¸ßÁ»ÎüÊÕÖØ½ðÊôïÓ·Ö×Ó»úÀíÑо¿È¡µÃ½øÕ¹ ÒÑÓÐ1È˲ÎÓë
|
|
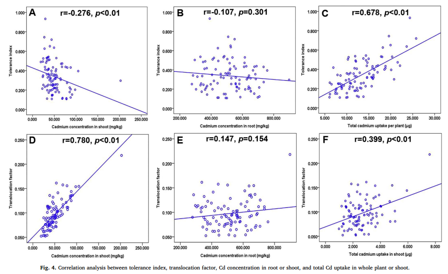
ïÓÎÛȾÎÊÌâÑÏÖØÍþв×ÅÁ¸Ê³°²È«ºÍÈËÀཡ¿µ£¬ÈçºÎÓÐЧÖÎÀíÍÁÈÀïÓÎÛȾÓú·¢Êܵ½ÈËÃǵĹØ×¢¡£×÷Ϊ×î¾ßǰ¾°µÄÉúÎïÖÊÄÜÔ´Ö²ÎïÖ®Ò»£¬Ìð¸ßÁ»¾ßÓо¥¸Ñº¬ÌÇÁ¿¸ß¡¢Éú³¤ÖÜÆÚ¶Ì¡¢ÉúÎïÁ¿´ó¡¢¿¹ÄæÐÔÇ¿¡¢ÊÊÖÖ·¶Î§¹ãµÈÓÅÊÆ£¬ÀûÓÃÆäÐÞ¸´ïÓÎÛȾÍÁÈÀ£¬¾¥¸ÑºÍ×ÑÁ£Éú²úȼÁÏÒÒ´¼£¬¾ÆÔãÓÃÓÚȼÉÕ·¢µç£¬ïÓÔªËØ¿É´Ó»Ò½ýÖмÓÒÔ»ØÊÕ¡£ÕâÑùïӾʹÓʳÎïÁ´×ªÒƵ½ÄÜÔ´Á´ÖУ¬¼æ¹ËÁËÉú̬ºÍ¾¼ÃÐ§Òæ¡£Ä¿Ç°ÈËÃǶÔÌð¸ßÁ»ÎüÊÕïÓµÄÑо¿½ÏÉÙ£¬ÇÒ¶à¾ÖÏÞÓÚÉúÀí²ãÃæ¡£Í¬Ê±£¬Ìð¸ßÁ»×÷Ϊ·Ç³¬¸»¼¯Ö²ÎÎüÊÕµÄïÓ¶à´¢´æÓÚ¸ùÖУ¬ÏÞÖÆÁËÆä´ÓÎÛȾÍÁÈÀÖÐÌáÈ¡ïÓµÄÄÜÁ¦¡£Òò´Ë£¬½âÎöÌð¸ßÁ»ÎüÊÕïÓµÄÉúÀíºÍ·Ö×Ó»úÀí¡¢´Ù½øïÓ´Ó¸ùÏòµØÉϲ¿·ÖµÄתÔËÊÇÌá¸ßÌð¸ßÁ»ÎüÊÕïÓÄÜÁ¦µÄÖØÒªÇ°Ìá¡£ Öйú¿ÆÑ§ÔºÖ²ÎïÑо¿ËùÀîÒøÐÄÑо¿×é¶ÔÀ´×ÔÈ«Çò²»Í¬µØÇøµÄ96¸öÌð¸ßÁ»Æ·Ïµ½øÐÐÁËɸѡ£¬·¢ÏÖ²»Í¬Æ·Ïµ¶ÔïÓµÄÄÍÊÜ¡¢ÎüÊÕºÍתÔËÄÜÁ¦¾ßÓкܴó²îÒì¡£¸ù¾Ýɸѡ½á¹û£¬Ñо¿ÈËÔ±ÒÔïÓתÔËÄÜÁ¦Ç¿ºÍÈõµÄÁ½¸öÌð¸ßÁ»Æ·ÏµH18ºÍL69£¨ïÓתÔËϵÊýÏà²î4±¶£©Îª²ÄÁÏ£¬Õë¶ÔÓ°ÏìÌð¸ßÁ»ÎüÊÕºÍתÔËïӵĹؼüÒòËØ¿ªÕ¹Ñо¿¡£Ñо¿½á¹û±íÃ÷£¬H18ͨ¹ý¹²ÖÊÌå;¾¶ÎüÊÕµÄïÓÏÔÖø¸ßÓÚL69£¬ÇÒÆä¸ùµÄÄÚÆ¤²ãÖÐÖÊÍâÌåÆÁÕϽÏL69¸üÈõ£¬Ä¾Öʲ¿ÖÒºÖÐïӵĺ¬Á¿Ò²¸ü¸ß¡£Ñо¿ÈËÔ±ÀûÓñȽÏת¼×éѧ£¬Í¨¹ý·ÖÎöÁ½¸öƷϵ¼äµÄ²îÒì±í´ï»ùÒò¼°ïÓÏìÓ¦»ùÒòµÄÒìͬ£¬½«ïÓתÔËÄÜÁ¦²îÒìÖ÷Òª¾Û½¹µ½±½±ûËØºÍľÖÊËØºÏ³ÉÒÔ¼°Ï¸°û±ÚÐÞÊιý³Ì¡£ ͬʱ£¬Ò»Ð©½ðÊôתÔ˵°°×»ùÒòµÄ²îÒì±í´ïÒ²¿ÉÄÜÊǵ¼ÖÂÁ½¸öÌð¸ßÁ»Æ·Ïµ¶ÔïÓÎüÊÕºÍתÔËÄÜÁ¦²»Í¬µÄÖØÒªÔÒò¡£ÓÉ´Ë£¬Ñо¿ÈËÔ±Ìá³ö¸ùµÄÎüÊÕ¡¢Ï¸°û±ÚµÄ½áºÏ¡¢ÄÚÆ¤²ãµÄ×è¸ô×÷Óã¬ÒÔ¼°Ä¾Öʲ¿×°Ôصȶà¸ö¹ý³ÌµÄÐͬ×÷Óþö¶¨ÁËÌð¸ßÁ»¶ÔïÓµÄÎüÊÕºÍתÔËÄÜÁ¦¡£ ¸ÃÑо¿´ÓÉúÀí¡¢Ï¸°ûºÍ·Ö×Óˮƽ³õ²½½ÒʾÁËÌð¸ßÁ»ÎüÊÕïӵĻúÀí£¬¼ø¶¨³ö¶à¸öÓ°ÏìïÓÎüÊÕºÍתÔ˵Ĺؼü»ùÒò£¬ÎªÀûÓÃÉúÎï¼¼ÊõÌá¸ßÌð¸ßÁ»ÎüÊÕïÓµÄÄÜÁ¦ÌṩÁËеİбêºÍ˼·¡£ |
» ÊÕ¼±¾ÌûµÄÌÔÌûר¼ÍƼö
Å©ÁÖ½øÕ¹ |
» ±¾ÌûÒÑ»ñµÃµÄºì»¨£¨×îÐÂ10¶ä£©
» ²ÂÄãϲ»¶
307Çóµ÷¼Á
ÒѾÓÐ3È˻ظ´
085600²ÄÁÏÓ뻯¹¤×¨Ë¶329 Çóµ÷¼Á
ÒѾÓÐ14È˻ظ´
²ÄÁÏ¿¼ÑÐÇóµ÷¼Á×Ü·Ö280
ÒѾÓÐ17È˻ظ´
085100½¨Öþѧ ѰÇó¿çרҵµ÷¼Á Ò»Ö¾Ô¸ÄÏ´ó294·Ö У¼¶Ê¡¼¶¹ú¼Ò¼¶½±ÏîÈô¸É ̤ʵ¿Ï¸É
ÒѾÓÐ4È˻ظ´
265Çóµ÷¼Á
ÒѾÓÐ15È˻ظ´
»¯¹¤Çóµ÷¼Á£¡
ÒѾÓÐ20È˻ظ´
266Çóµ÷¼Á
ÒѾÓÐ22È˻ظ´
»¯¹¤µ÷¼Á303·Ö£¬¹ýËļ¶
ÒѾÓÐ29È˻ظ´
ÉúÎïѧ363µ÷¼ÁÇóÖú
ÒѾÓÐ4È˻ظ´
22408 һ־Ը˫һÁ÷È˹¤ÖÇÄÜ300·Ö ËÄÁù¼¶£¬Êý¾Ý·ÖÎö¹ú½±
ÒѾÓÐ4È˻ظ´
» ±¾Ö÷ÌâÏà¹ØÉ̼ÒÍÆ¼ö: (ÎÒÒ²ÒªÔÚÕâÀïÍÆ¹ã)

½úÅô
°æÖ÷ (ÖªÃû×÷¼Ò)
- Ó¦Öú: 626 (²©Ê¿)
- ¹ó±ö: 0.096
- ½ð±Ò: 27591
- É¢½ð: 1052
- ºì»¨: 288
- ɳ·¢: 2
- Ìû×Ó: 5663
- ÔÚÏß: 726.4Сʱ
- ³æºÅ: 1183978
- ×¢²á: 2011-01-05
- ÐÔ±ð: GG
- רҵ: ÉúÎïÐÅϢѧ
- ¹ÜϽ: Å©ÁÖ
| ïÓÎÛȾÎÊÌâÑÏÖØÍþв×ÅÁ¸Ê³°²È«ºÍÈËÀཡ¿µ£¬ÈçºÎÓÐЧÖÎÀíÍÁÈÀïÓÎÛȾÓú·¢Êܵ½ÈËÃǵĹØ×¢¡£ |

2Â¥2017-12-14 19:04:21
3Â¥2017-12-19 11:58:13














»Ø¸´´ËÂ¥
Çç´¨123

