| 查看: 3231 | 回复: 5 | ||
alibabashiqun铁杆木虫 (知名作家)
|
[交流]
急求:差热测试图形及分析的问题,恳请各位虫友大侠指点。。
|
sxll
至尊木虫 (职业作家)
- IN-EPI: 2
- 应助: 1262 (讲师)
- 金币: 18149.3
- 散金: 6
- 红花: 136
- 帖子: 4690
- 在线: 873.2小时
- 虫号: 892378
- 注册: 2009-11-03
- 性别: GG
★ ★ ★ ★ ★ ★ ★ ★ ★ ★ ★
小木虫: 金币+0.5, 给个红包,谢谢回帖
alibabashiqun: 金币+10, 好的,非常感谢你的宝贵意见。 2017-12-06 08:56:08
小木虫: 金币+0.5, 给个红包,谢谢回帖
alibabashiqun: 金币+10, 好的,非常感谢你的宝贵意见。 2017-12-06 08:56:08
|
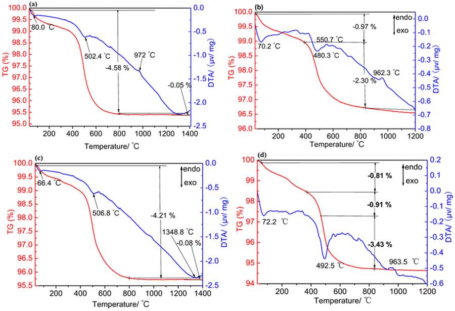
DTA的纵轴单位一般是uv,而不是uv/mg,这个和DSC不一样,图内右上角的endo、exo一般都不标注,你三个有,一个没有,右侧两个图的DTA坐标还不一致,这两个应该是比较接近的物质进行对比吧,调成坐标一致比较好看一些。 在数值分析上,取峰值温度作为反应温度本来就不够严谨(峰值温度随实验条件而变化),应该取外推起始温度,至于你说的好几篇文献,现在文献中热分析图谱分析比较好的不多,画图错误和分析错误的也常见,遇到一般的审稿人还能糊弄过去,遇到明白的就麻烦了。说实话,现在真正比较明白DTA和DSC的人并不多,就算目前的审稿人,十个里面有两三个能比较明白就不错了,毕竟现在没有几个人会静下心来看看热分析的基础知识。 |
» 本帖已获得的红花(最新10朵)
2楼2017-12-05 20:54:55
whd博士
木虫 (著名写手)
- IN-EPI: 1
- 应助: 391 (硕士)
- 贵宾: 0.019
- 金币: 5218.7
- 散金: 286
- 红花: 52
- 帖子: 1709
- 在线: 452.7小时
- 虫号: 861215
- 注册: 2009-10-01
- 性别: GG
- 专业: 无机非金属基复合材料
★ ★ ★ ★ ★ ★ ★ ★ ★ ★ ★
小木虫: 金币+0.5, 给个红包,谢谢回帖
alibabashiqun: 金币+10, 好的,非常感谢你的宝贵意见。 2017-12-06 08:56:17
小木虫: 金币+0.5, 给个红包,谢谢回帖
alibabashiqun: 金币+10, 好的,非常感谢你的宝贵意见。 2017-12-06 08:56:17
| 审稿人的意见,好像是认为你的解释是有问题的,出现问题的原因是吸热和放热效应弄反了。失重同时放热的过程确实不多,有机质氧化确实算一类。由于不知道你的测试条件是空气还是惰性气氛,不好判断。审稿人认为你将黏土矿物的脱羟基过程解释成了有机质燃烧。不清楚这四个图对应样品的差异,不过如果是惰性气氛下,很少出现放热失重过程。空气气氛另说。建议确认好吸热和放热效应对应的DTA热效应峰方向。另外画图标尺范围统一,方便对比。 |
3楼2017-12-05 22:09:47
sxll
至尊木虫 (职业作家)
- IN-EPI: 2
- 应助: 1262 (讲师)
- 金币: 18149.3
- 散金: 6
- 红花: 136
- 帖子: 4690
- 在线: 873.2小时
- 虫号: 892378
- 注册: 2009-11-03
- 性别: GG
4楼2017-12-06 09:50:58
alibabashiqun
铁杆木虫 (知名作家)
- 应助: 11 (小学生)
- 金币: 5299.2
- 散金: 2395
- 红花: 35
- 沙发: 4
- 帖子: 8236
- 在线: 972.7小时
- 虫号: 386449
- 注册: 2007-05-29
- 专业: 功能陶瓷
5楼2017-12-06 10:04:21
sxll
至尊木虫 (职业作家)
- IN-EPI: 2
- 应助: 1262 (讲师)
- 金币: 18149.3
- 散金: 6
- 红花: 136
- 帖子: 4690
- 在线: 873.2小时
- 虫号: 892378
- 注册: 2009-11-03
- 性别: GG
★
小木虫: 金币+0.5, 给个红包,谢谢回帖
小木虫: 金币+0.5, 给个红包,谢谢回帖
|
https://wenku.baidu.com/view/88555ca22f60ddccda38a080.html 给你个连接你看看吧,如果拿水做例子的话,DTA曲线开始向下弯曲的点叫起始点,这个点可能是六七十度(这个时候水已经开始蒸发),峰顶点的温度是峰值温度,可能是一百一二十度,是蒸发速度最快的温度(因为测温的差热电偶不在样品里面,所以显示的温度也不是样品温度),外推起始温度是100度,水的蒸发温度。但多数文献会把峰值温度当成水的沸腾温度。 这个资料里面是以失重做的,DTA 也可以,按失重比较好做,差热基线漂移,做出来的误差会大一些。 |
6楼2017-12-06 14:45:14














回复此楼
alibabashiqun