| 查看: 319 | 回复: 2 | ||
[求助]
十二月啦……我有个小问题想请教大家
|
|
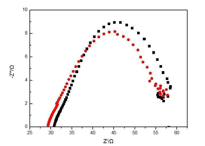
做的氧析出的EIS,如图,为什么尾部是这样的呢?和文献中看到的不一样。希望懂的师父能解释一下~谢谢 发自小木虫Android客户端 |
» 猜你喜欢
南大化学调剂
已经有11人回复
硫酸钠溶液浓度与密度曲线
已经有0人回复
分析化学论文润色/翻译怎么收费?
已经有173人回复
0703调剂
已经有4人回复
1
已经有21人回复
0703 调剂
已经有6人回复
招收
已经有0人回复
西南某211招27届博士
已经有32人回复
大连工业杰青/长江团队-生物质材料-储能电池方向招收2026级博士生
已经有0人回复
求调剂一志愿海大,0703化学学硕304分,有大创项目,四级已过
已经有10人回复
lapuland
铜虫 (正式写手)
- 应助: 9 (幼儿园)
- 金币: 2250.4
- 散金: 57
- 红花: 13
- 帖子: 575
- 在线: 132.7小时
- 虫号: 974868
- 注册: 2010-03-18
- 专业: 无机材料化学
2楼2017-12-01 19:36:53
3楼2017-12-01 19:43:34













回复此楼