| 查看: 14599 | 回复: 3 | ||
sdwangshuo银虫 (小有名气)
|
[求助]
CV和GCD 已有2人参与
|
|
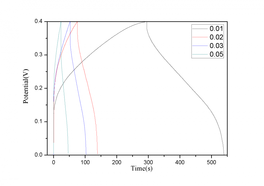
我合成的钴酸锌为什么CV里没有氧化还原的峰?GCD也没有平台呢?别的表征都没有问题,电化学测试的时候就这样了。看文献里有的也没有峰和平台,有的有峰和平台。有木有大神来给说下原因啊? 图片1.png 图片2.png all.png GCD.png |
» 猜你喜欢
求调剂,本科吉大,一志愿华工339
已经有2人回复
意大利博洛尼亚大学招聘研究助理2名(2D材料/锂离子与钠离子电池方向)
已经有1人回复
分析化学论文润色/翻译怎么收费?
已经有90人回复
关于碳量子点抗菌的研究
已经有15人回复
南大化学调剂
已经有11人回复
硫酸钠溶液浓度与密度曲线
已经有0人回复
0703调剂
已经有2人回复
1
已经有14人回复
0703 调剂
已经有4人回复
招收
已经有0人回复
2楼2017-12-20 21:10:50
xyhe88
木虫 (正式写手)
- 应助: 5 (幼儿园)
- 金币: 3550.1
- 散金: 50
- 红花: 1
- 帖子: 311
- 在线: 158.9小时
- 虫号: 2945306
- 注册: 2014-01-23
- 性别: GG
- 专业: 电化学
3楼2017-12-21 10:45:32
wsqcoc
新虫 (著名写手)
- 应助: 0 (幼儿园)
- 金币: 4225.2
- 散金: 1345
- 红花: 6
- 帖子: 1145
- 在线: 166.5小时
- 虫号: 4543591
- 注册: 2016-03-26
- 专业: 无机非金属材料
4楼2018-05-04 14:57:44













回复此楼