| 查看: 7011 | 回复: 15 | ||
| 当前只显示满足指定条件的回帖,点击这里查看本话题的所有回帖 | ||
fuwengcc1111铁虫 (初入文坛)
|
[交流]
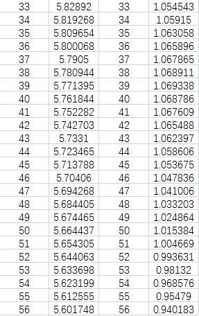
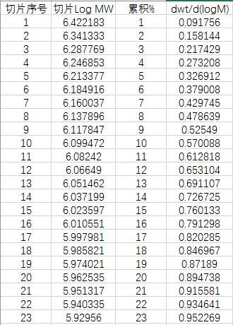
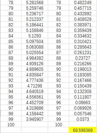
有没有人能够把GPC的 dwt/d(logM)解释明白?完全理解的
|
|
fuwengcc1111
铁虫 (初入文坛)
- 应助: 0 (幼儿园)
- 金币: 11.5
- 散金: 9
- 帖子: 17
- 在线: 6.3小时
- 虫号: 7177637
- 注册: 2017-09-13
- 专业: 高分子合成化学
3楼2017-11-27 20:49:54
2楼2017-11-27 20:49:43
4楼2017-11-27 21:07:24
5楼2017-11-27 21:23:07













回复此楼

