| 查看: 405 | 回复: 1 | ||
ohchi金虫 (初入文坛)
|
[求助]
大神帮帮忙
|
|
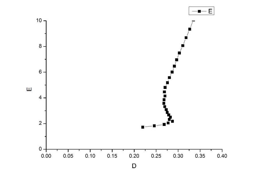
电容器测阻抗,高频部分为这样,怎么分析呢 发自小木虫Android客户端 |
» 猜你喜欢
青岛大学固态电池研究团队招收材料、化学、物理等方向博士研究生
已经有33人回复
化学工程085602 305分求调剂
已经有22人回复
物理化学论文润色/翻译怎么收费?
已经有215人回复
龋病与牙周病的表述
已经有1人回复
070300化学求调剂
已经有12人回复
武汉纺织大学全国重点实验室杨应奎教授团队拟招17-19位硕博生!
已经有0人回复
材料与化工专硕接受跨专业调剂(重庆市属高校)
已经有0人回复
武汉纺织大学全国重点实验室杨应奎教授团队拟招17-19位硕博生!
已经有0人回复
070300 化学学硕 初试357分 b区求调剂
已经有1人回复
上海工程技术大学生态与功能纺织品开发研究团队招收学硕专硕研究生
已经有0人回复
华南理工0703求调剂,总分336四六级已过
已经有0人回复
wyn158
至尊木虫 (著名写手)
- 应助: 13 (小学生)
- 金币: 11200.6
- 散金: 2686
- 红花: 13
- 沙发: 1
- 帖子: 2870
- 在线: 318.9小时
- 虫号: 1710726
- 注册: 2012-03-22
- 性别: GG
- 专业: 有机化工
2楼2017-11-25 12:57:34














回复此楼